Open Access

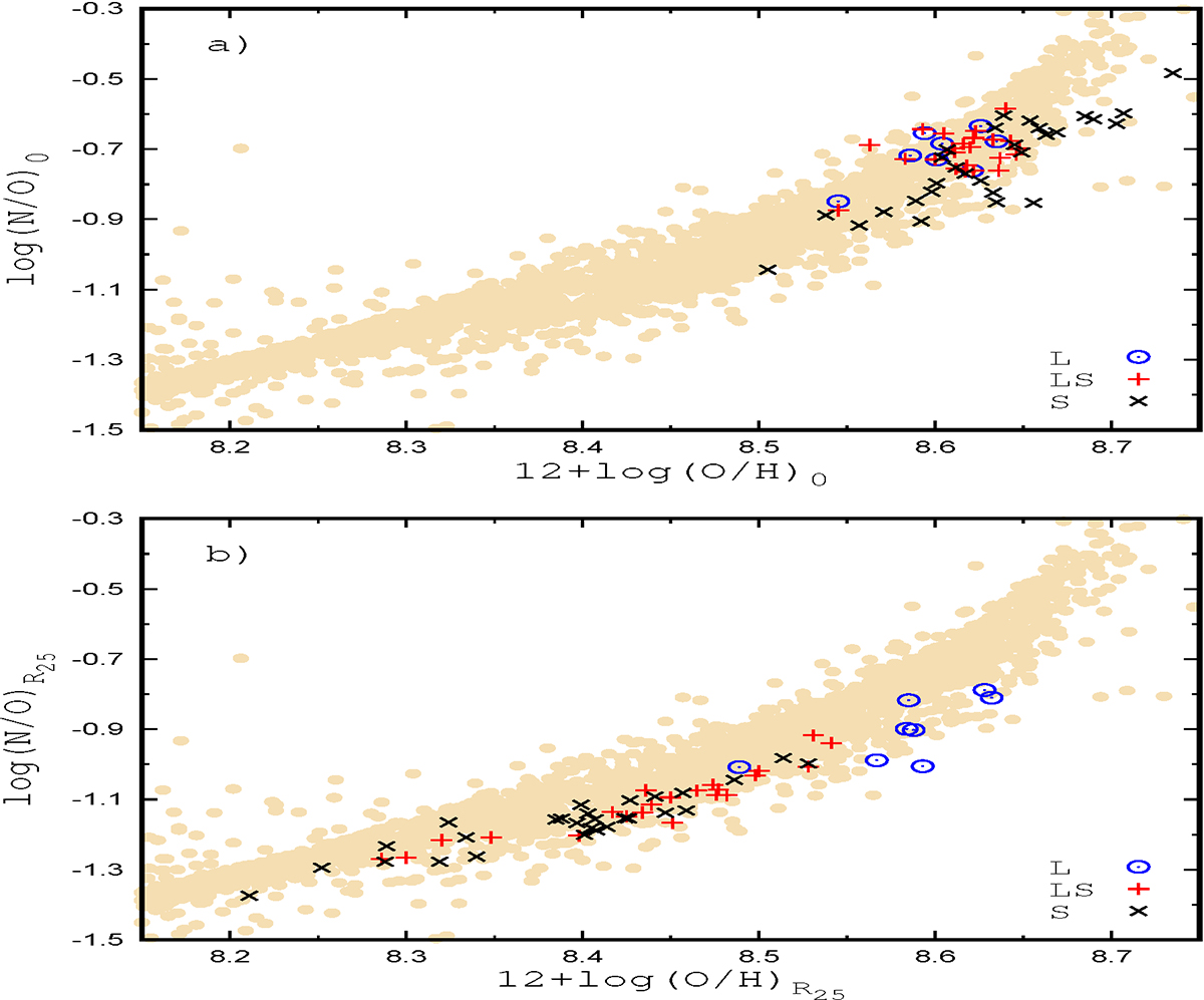
Fig. 14.

image

Download original image

N/O vs. O/H diagram for the abundances at the centres (panel a) and at the optical radii (panel b). The circles designate galaxies with an L-type abundance distribution, the plus signs mark galaxies with an LS-type abundance distribution, and crosses are galaxies with an S-type abundance distribution. The yellow points denote H II regions in nearby galaxies (compilation in Pilyugin & Grebel 2016).

Current usage metrics show cumulative count of Article Views (full-text article views including HTML views, PDF and ePub downloads, according to the available data) and Abstracts Views on Vision4Press platform.

Data correspond to usage on the plateform after 2015. The current usage metrics is available 48-96 hours after online publication and is updated daily on week days.

Initial download of the metrics may take a while.