Open Access
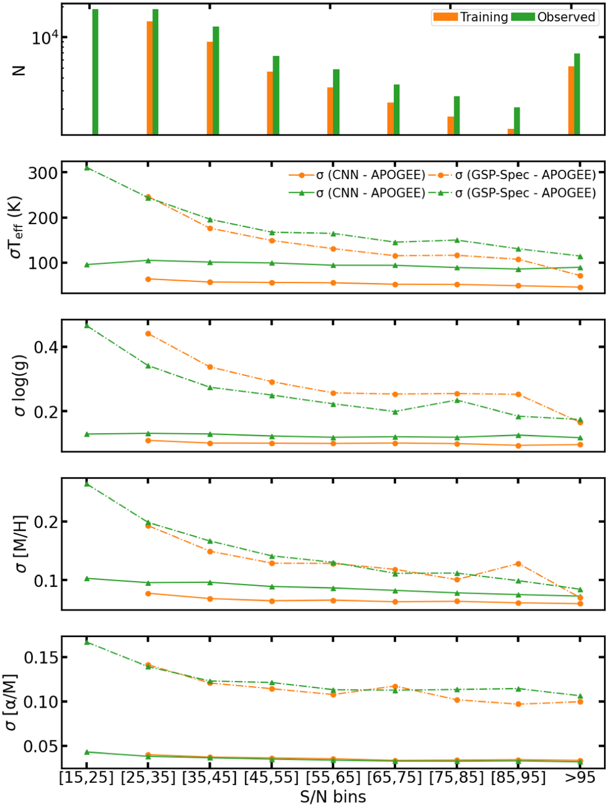
Fig. 16

Download original image
Precision computed as the standard deviation of the CNN minus APOGEE (solid lines) and calibrated GSP-Spec minus APOGEE (dashed lines) as a function of S/N bins for 41 623 stars of the training sample (orange) and 76 996 stars of the observed sample (green, within the training sample limits).
Current usage metrics show cumulative count of Article Views (full-text article views including HTML views, PDF and ePub downloads, according to the available data) and Abstracts Views on Vision4Press platform.
Data correspond to usage on the plateform after 2015. The current usage metrics is available 48-96 hours after online publication and is updated daily on week days.
Initial download of the metrics may take a while.