Fig. 24

Download original image
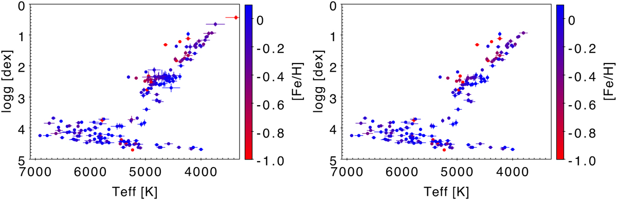
Kiel diagram with fundamental Teff and log 𝑔. The colour scale is related to metallicities from the literature. The left panel shows the full sample of 192 stars while the right panel shows the stars with uncertainties on Teff and log 𝑔 better than 2% and 0.1 dex respectively.
Current usage metrics show cumulative count of Article Views (full-text article views including HTML views, PDF and ePub downloads, according to the available data) and Abstracts Views on Vision4Press platform.
Data correspond to usage on the plateform after 2015. The current usage metrics is available 48-96 hours after online publication and is updated daily on week days.
Initial download of the metrics may take a while.