Fig. B.3.

Download original image
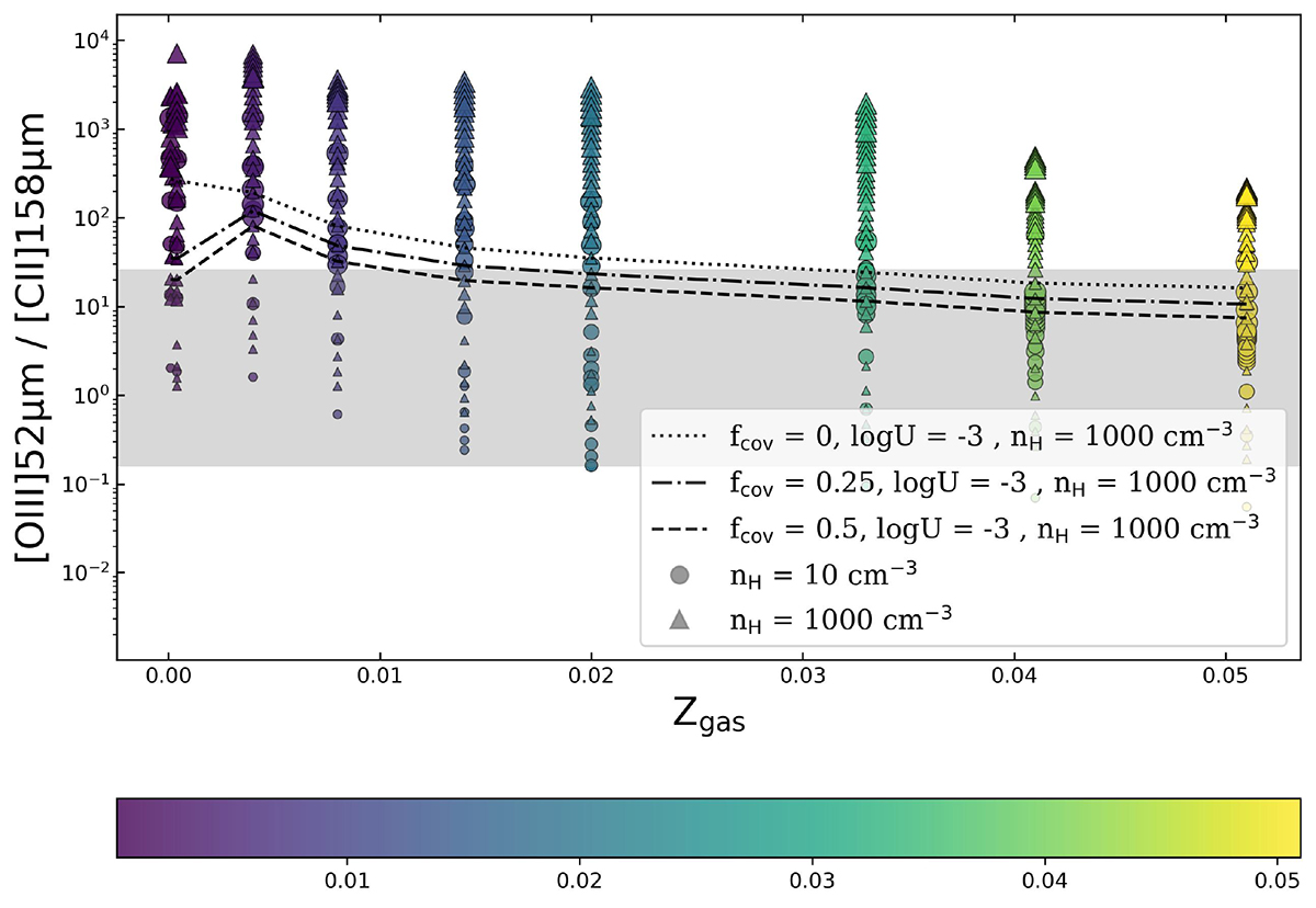
[OIII]52 μm/[C+]158 μm line ratio as a function of the gas metallicity Zgas for three gas densities nH = 10 (circle), 100 (square), and 1000 (triangle) cm−3, and for different values of the ionization parameter, logU between -4.0 and -1.0 (with increasing size of the symbols), for fcov = 0 (HII region only). The shaded region corresponds to the values spanned by this ratio in our samples.
Current usage metrics show cumulative count of Article Views (full-text article views including HTML views, PDF and ePub downloads, according to the available data) and Abstracts Views on Vision4Press platform.
Data correspond to usage on the plateform after 2015. The current usage metrics is available 48-96 hours after online publication and is updated daily on week days.
Initial download of the metrics may take a while.