Open Access
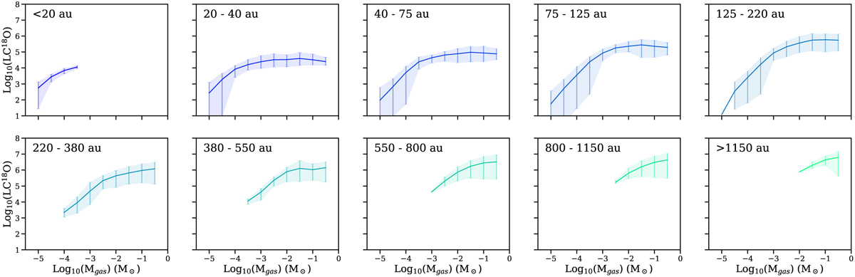
Fig. 8

Download original image
Range of C18O luminosities for different mass disks, selected for 12CO R90% radii from the DALI models presented in Fig. 5. The shaded area indicates the minimum and maximum values, and the solid line is the mean value.
Current usage metrics show cumulative count of Article Views (full-text article views including HTML views, PDF and ePub downloads, according to the available data) and Abstracts Views on Vision4Press platform.
Data correspond to usage on the plateform after 2015. The current usage metrics is available 48-96 hours after online publication and is updated daily on week days.
Initial download of the metrics may take a while.