Fig. 3

Download original image
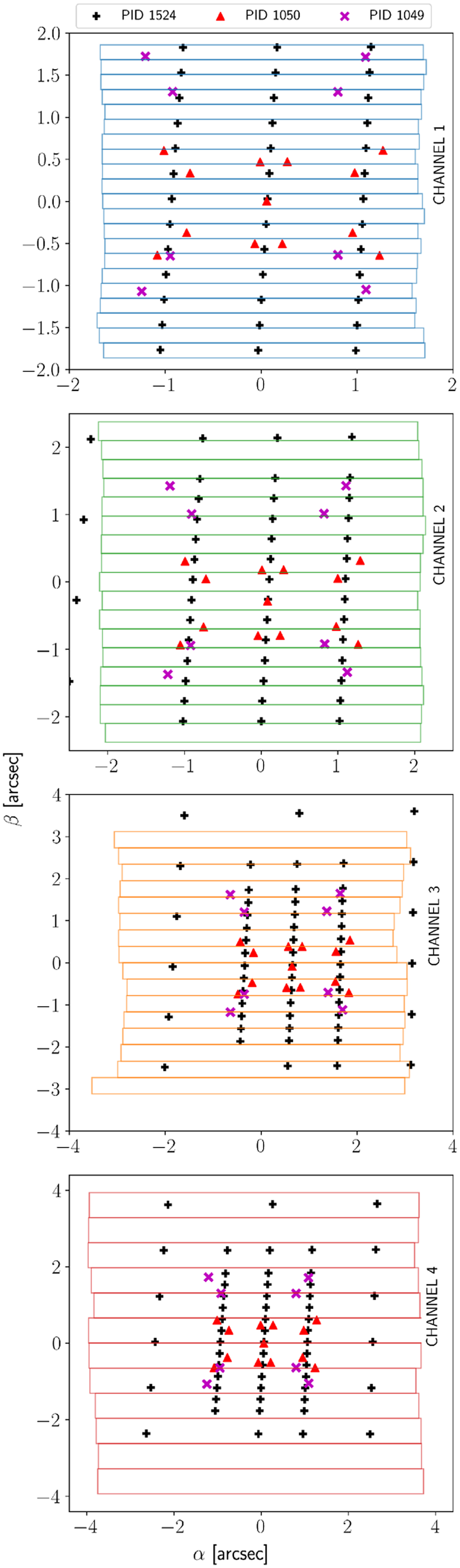
Dither points from commissioning and cycle 1 calibration, with each panel illustrating the outline of each channel’s slicer. The black crosses correspond to the dither pattern of 10 Lac executed during PID 1524 (observation 16), optimised to characterise the intra-slice distortion. The red points correspond to the point and extended dither pattern optimised for channel 1 (PID 1050, observation 9), and the violet points correspond to the point source dither pattern of channel 3 (PID 1049, observation 2).
Current usage metrics show cumulative count of Article Views (full-text article views including HTML views, PDF and ePub downloads, according to the available data) and Abstracts Views on Vision4Press platform.
Data correspond to usage on the plateform after 2015. The current usage metrics is available 48-96 hours after online publication and is updated daily on week days.
Initial download of the metrics may take a while.