Open Access
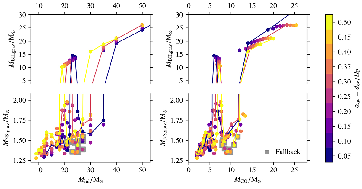
Fig. 7.

Download original image
Gravitational neutron-star MNS, grav and black-hole masses MBH, grav as a function of initial mass (left) and CO core mass (right) for our models up to Mini = 50 M⊙. Different convective core overshooting values are indicated by colors and gray boxes indicate models that are expected to experience fallback.
Current usage metrics show cumulative count of Article Views (full-text article views including HTML views, PDF and ePub downloads, according to the available data) and Abstracts Views on Vision4Press platform.
Data correspond to usage on the plateform after 2015. The current usage metrics is available 48-96 hours after online publication and is updated daily on week days.
Initial download of the metrics may take a while.