Open Access

Fig. 10.

image

Download original image

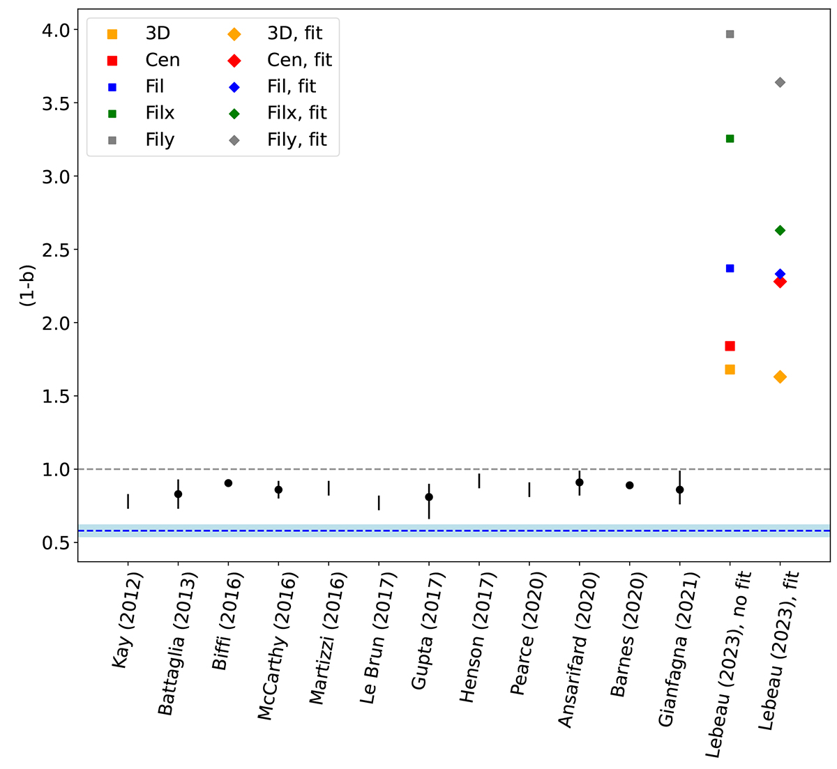
Comparison of average hydrostatic mass biases at R500 from samples of clusters in random non-constrained simulations with the values obtained using 3D or the 3D-deprojected profiles from the constrained simulations of the Virgo replica. The constrained simulation includes the same sub-grid physics as the random simulation with the addition of the quasar mode for the AGN feedback. We used the same colours for the biases obtained in this work. Virgo being an unrelaxed cluster, the bias obtained from the 3D profiles is larger than the average biases from the random simulations. The projection effects emphasise the variations in the profiles and induce very large biases.

Current usage metrics show cumulative count of Article Views (full-text article views including HTML views, PDF and ePub downloads, according to the available data) and Abstracts Views on Vision4Press platform.

Data correspond to usage on the plateform after 2015. The current usage metrics is available 48-96 hours after online publication and is updated daily on week days.

Initial download of the metrics may take a while.