Fig. 3

Download original image
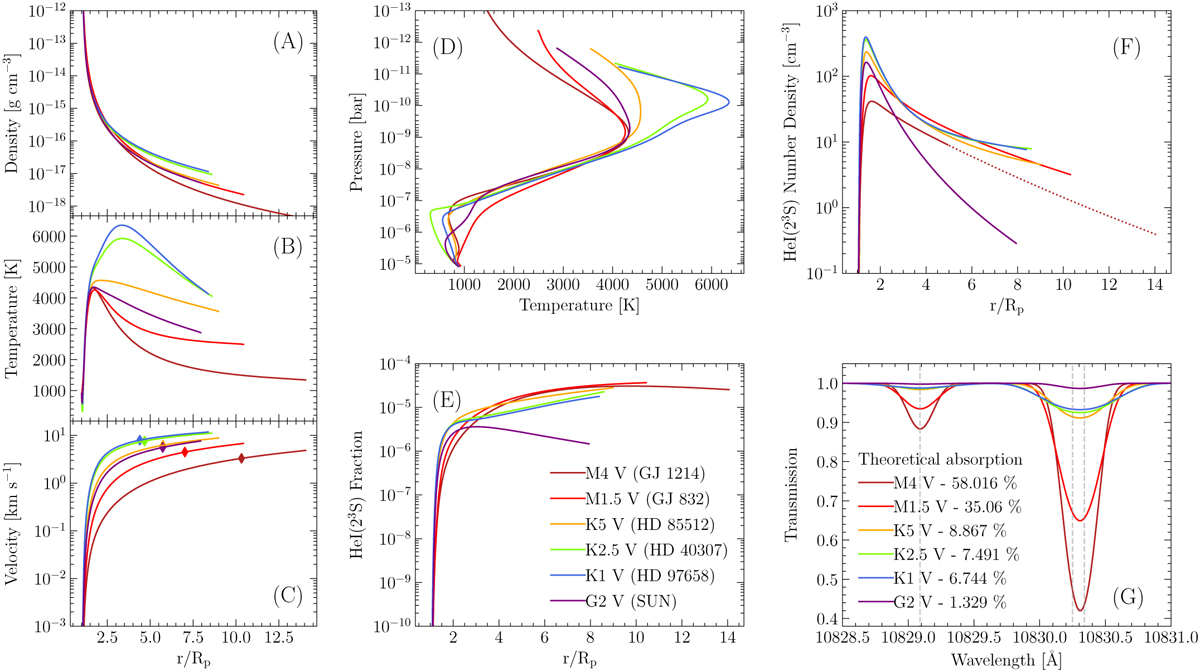
ATES simulations of the Neptune-sized planet HAT-P-11b, subject to varying stellar irradiation fields. The planet orbital distance is fixed to 0.053 AU. The different colors correspond to the host spectral types shown in Fig. 2. Shown are the radial profiles of the outflow total density (A); temperature (B); velocity (C), where a diamond symbol indicates where the outflow becomes supersonic; He fraction in the triplet state (E); and He I(23S) number density (F). All profiles extend from the planet surface to the system’s Hill radius. For the M4 V case, the Hill radius exceeds the size of the stellar disk (past which the outflow profile is shown as a dotted line in panel F). Panel D shows the outflow pressure-temperature diagram; the resulting He I(23S) transmission probability is shown in panel G.
Current usage metrics show cumulative count of Article Views (full-text article views including HTML views, PDF and ePub downloads, according to the available data) and Abstracts Views on Vision4Press platform.
Data correspond to usage on the plateform after 2015. The current usage metrics is available 48-96 hours after online publication and is updated daily on week days.
Initial download of the metrics may take a while.