Open Access

Fig. 10

image

Download original image

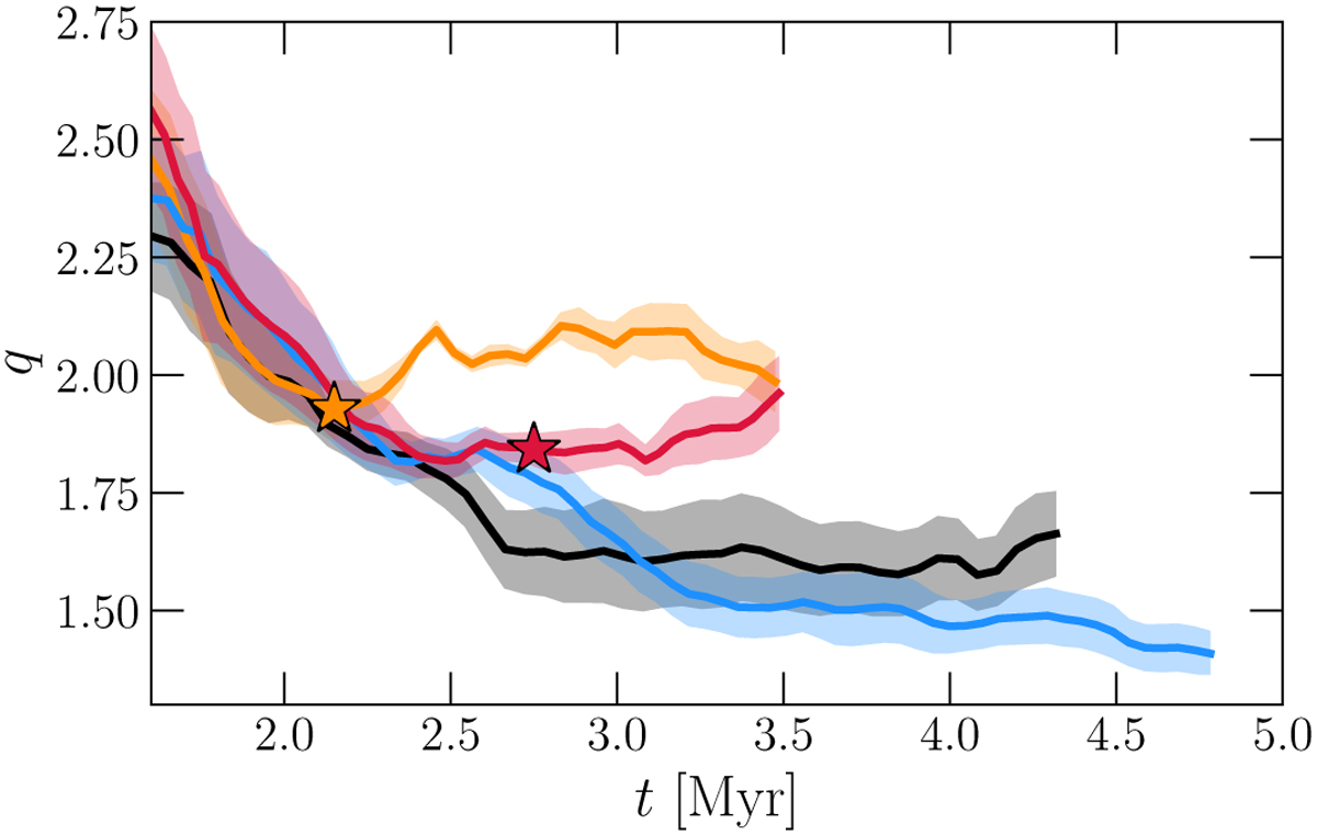
Temporal evolution of the fitted exponent q, averaged over the three axes, in the four simulations. The colour code is the same as in Fig. 2. The shaded areas represent the standard deviation of the sample due to the differences between the lines of sight. The uncertainties on the single fits are negligible. As in Fig. 2, the stars highlight the moment of the eruption of the main H II region.

Current usage metrics show cumulative count of Article Views (full-text article views including HTML views, PDF and ePub downloads, according to the available data) and Abstracts Views on Vision4Press platform.

Data correspond to usage on the plateform after 2015. The current usage metrics is available 48-96 hours after online publication and is updated daily on week days.

Initial download of the metrics may take a while.