Open Access

Fig. A.l

image

Download original image

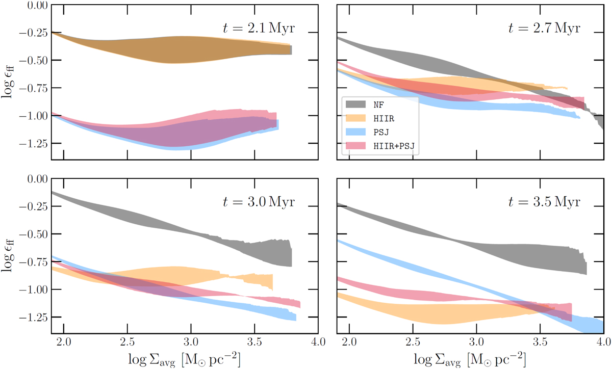
Same as Fig. 5, but using the average and 1 σ dispersion of ϵff obtained from the three lines of sight. Data are masked when at least one of the three contours at the same density threshold does not satisfy the 500 pixel criterion.

Current usage metrics show cumulative count of Article Views (full-text article views including HTML views, PDF and ePub downloads, according to the available data) and Abstracts Views on Vision4Press platform.

Data correspond to usage on the plateform after 2015. The current usage metrics is available 48-96 hours after online publication and is updated daily on week days.

Initial download of the metrics may take a while.