Open Access

Fig. 1

image

Download original image

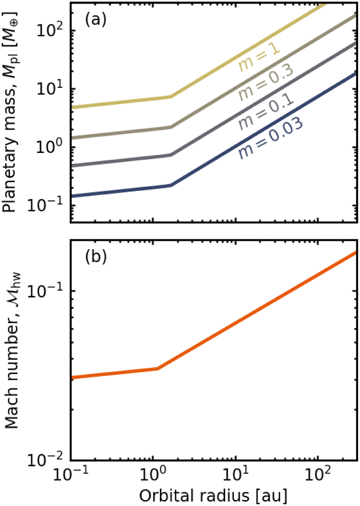
Planetary mass (top) and the Mach number (bottom) as a function of the orbital radius. For the conversion, we assumed a typical steady accretion disk model with a dimensionless viscous alpha parameter (Shakura & Sunyaev 1973), αacc, including viscous heating and stellar irradiation (e.g., Ida et al. 2016). In this model, the aspect ratio is given by h = max(0.027(a/1 au)1/20, 0.024 (a/1 au)2/7), where a solar-mass star, a solar luminosity, the typical accretion rate of classical T Tauri stars, 10−8 M yr−1, and αacc = 10−3 were assumed (Appendix A).

Current usage metrics show cumulative count of Article Views (full-text article views including HTML views, PDF and ePub downloads, according to the available data) and Abstracts Views on Vision4Press platform.

Data correspond to usage on the plateform after 2015. The current usage metrics is available 48-96 hours after online publication and is updated daily on week days.

Initial download of the metrics may take a while.