Fig. 16

Download original image
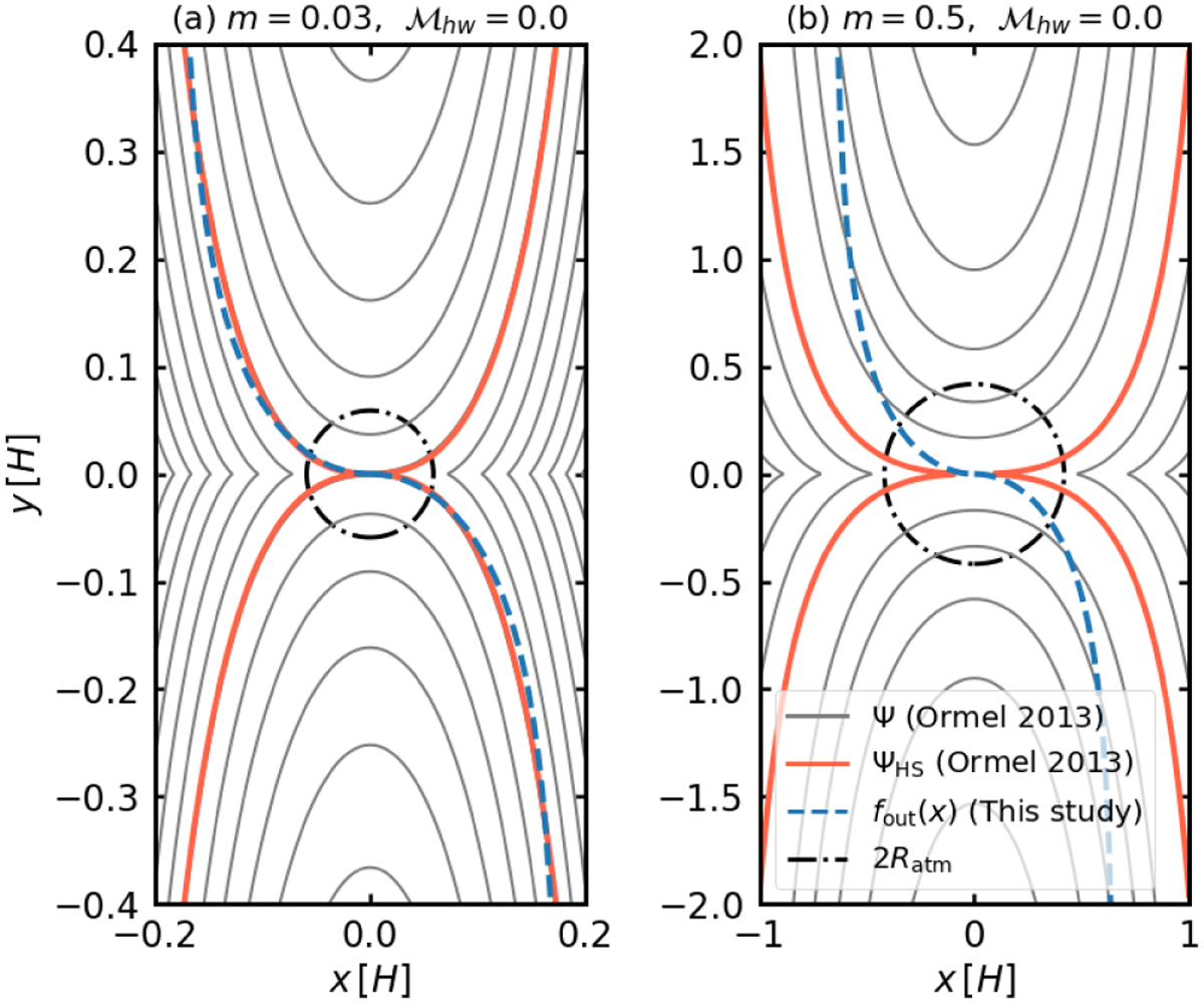
Isocontours of the stream function (the solid gray lines), Ψ, and the fitting formula of the critical recycling streamline at the midplane (Eq. (11); the dashed blue lines). The widest horseshoe streamlines characterized by ΨHS are highlighted with red. Isocontours of Ψ = 0.02−0.1 (panel a) and Ψ = 0.42–1.7 (panel b) are shown.
Current usage metrics show cumulative count of Article Views (full-text article views including HTML views, PDF and ePub downloads, according to the available data) and Abstracts Views on Vision4Press platform.
Data correspond to usage on the plateform after 2015. The current usage metrics is available 48-96 hours after online publication and is updated daily on week days.
Initial download of the metrics may take a while.