Open Access
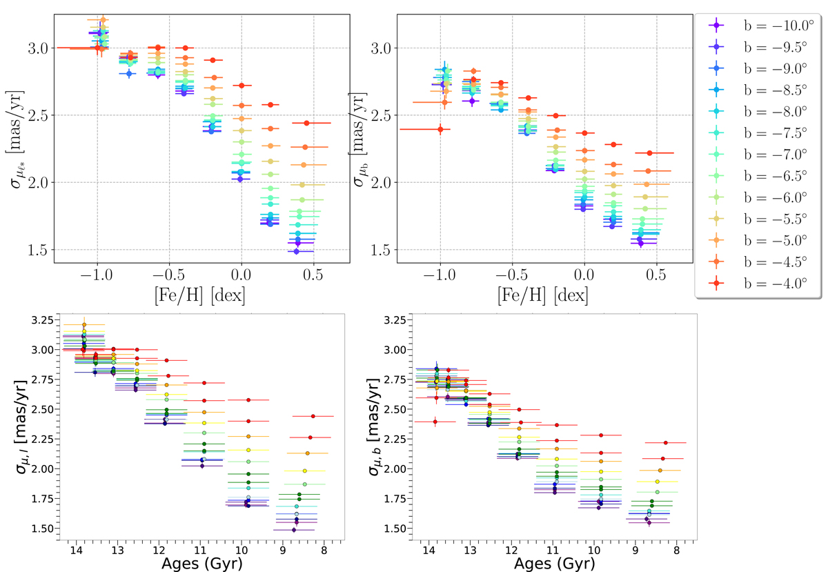
Fig. 9.

Download original image
Upper: proper-motion dispersion along Galactic longitude (left panel) and Galactic latitude (right panel) as a function of metallicity for different values of Galactic latitude. Lower: same as the upper panel, but shown with the age–metallicity substitution from Joyce et al. (2023) described in Sect. 3.1.
Current usage metrics show cumulative count of Article Views (full-text article views including HTML views, PDF and ePub downloads, according to the available data) and Abstracts Views on Vision4Press platform.
Data correspond to usage on the plateform after 2015. The current usage metrics is available 48-96 hours after online publication and is updated daily on week days.
Initial download of the metrics may take a while.