Open Access
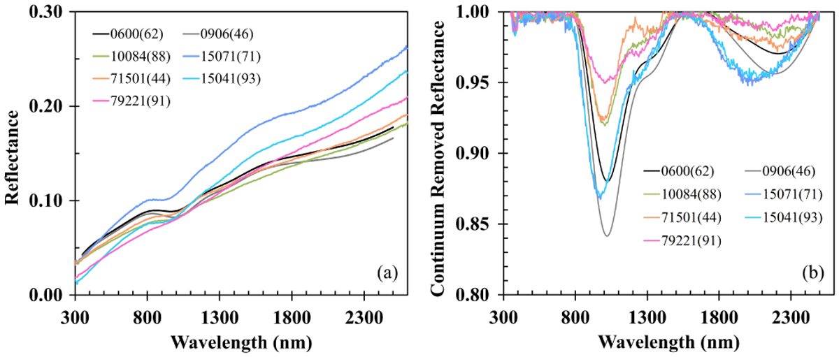
Fig. 2

Download original image
Laboratory reflectance spectra of CE-5 and Apollo samples. (a) Reflectance spectra of CE-5 bulk soils. The spectra of Apollo mare bulk soils <45 μm are also shown for comparison. (b) Continuum removed spectra. Values in parentheses are the maturity parameter Is/FeO (<45 μm Taylor et al. 2001; Pieters et al. 2006).
Current usage metrics show cumulative count of Article Views (full-text article views including HTML views, PDF and ePub downloads, according to the available data) and Abstracts Views on Vision4Press platform.
Data correspond to usage on the plateform after 2015. The current usage metrics is available 48-96 hours after online publication and is updated daily on week days.
Initial download of the metrics may take a while.