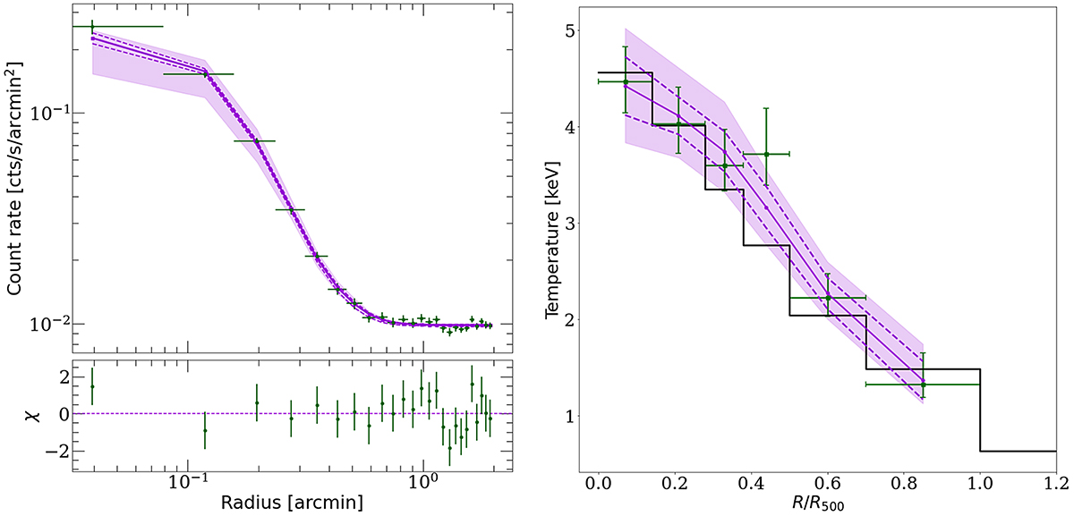
Fig. 4.

Download original image
Projected observables and their best-fit models for the z = 2 galaxy cluster with regular projection in the Hydrangea sample, as seen by X-IFU in a 100 ks exposure. Left: Surface brightness profile in the 0.4−1 keV band and its uncertainties (green points). The posterior mean (best-fit model) and its 68% confidence envelope are represented in purple. The bottom panel displays the deviation of the measurements relative to the best fit, normalised by the errors. Right: 2D temperature profile as measured by XSPEC in each annular bin (green points and errors). The emission-measure-weighted temperature TEM (known from the hydrodynamic simulation) is shown as a thick black line. In both panels the shaded purple envelope includes both the contribution of the intrinsic dispersion of physical quantities within the radial shells and the propagated variance of the 14 free model parameters (dashed lines).
Current usage metrics show cumulative count of Article Views (full-text article views including HTML views, PDF and ePub downloads, according to the available data) and Abstracts Views on Vision4Press platform.
Data correspond to usage on the plateform after 2015. The current usage metrics is available 48-96 hours after online publication and is updated daily on week days.
Initial download of the metrics may take a while.