Open Access
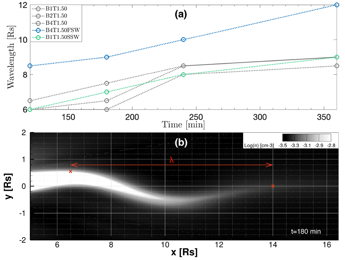
Fig. 7.

Download original image
Wavelength increase found in simulation. (a) Growth of the wavelength over time for the five variants corresponding to T = 1.50 MK. (b) Snapshot of the logarithmic density (colour scale) of the variant B1T1.50 3 h after the introduction of the perturbation, where we show how the wavelength was estimated.
Current usage metrics show cumulative count of Article Views (full-text article views including HTML views, PDF and ePub downloads, according to the available data) and Abstracts Views on Vision4Press platform.
Data correspond to usage on the plateform after 2015. The current usage metrics is available 48-96 hours after online publication and is updated daily on week days.
Initial download of the metrics may take a while.