Open Access

Fig. 10

image

Download original image

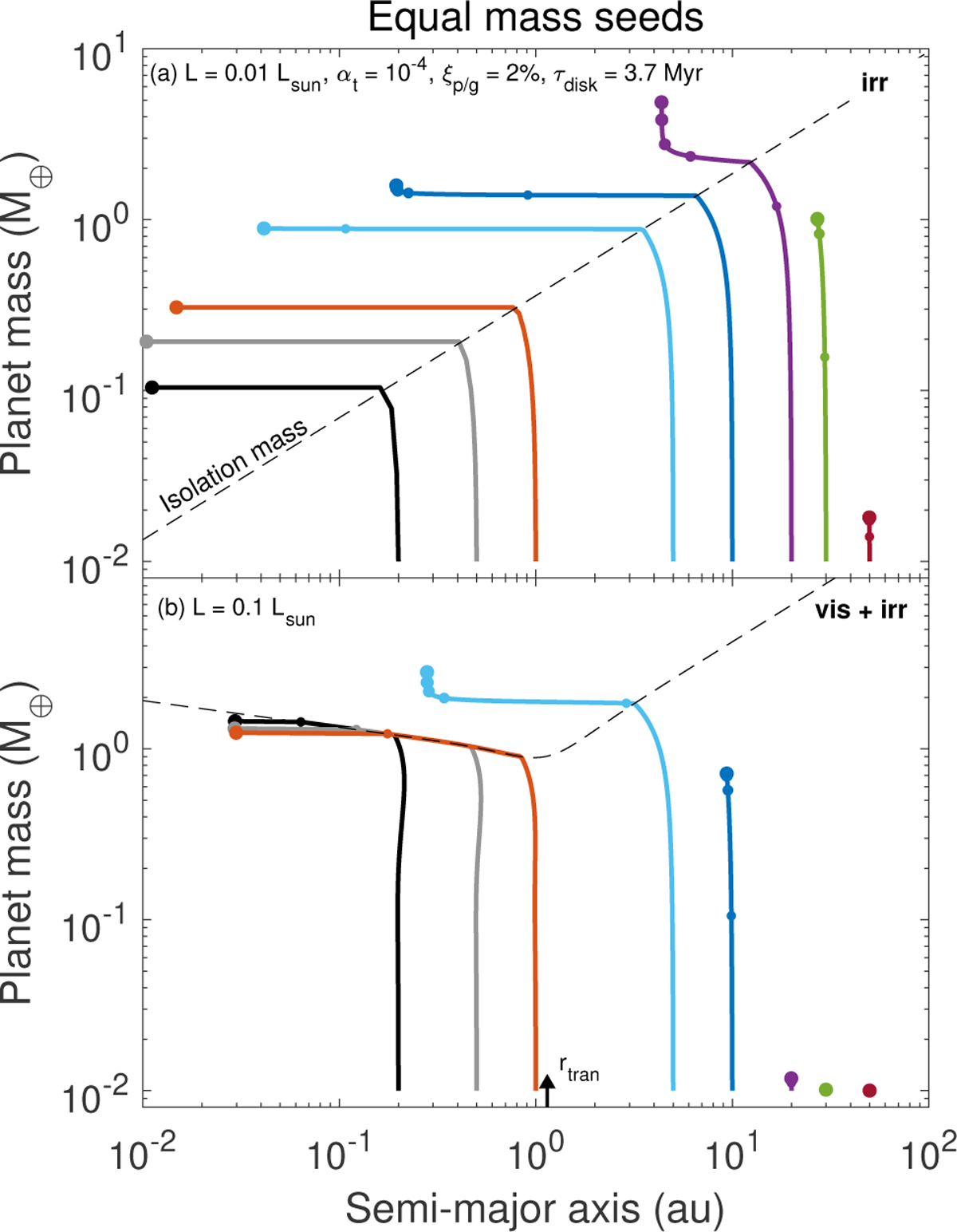
Growth and migration of individual protoplanets at different disk locations around stars of M⋆ = 0.1 M⊙ in a pure stellar irradiation disk with L⋆ = 0.01 L⊙ (top) and in a viscously heated and stellar irradiated disk with L⋆ = 0.1 L⊙ (bottom). The model parameters are similar to that in Fig. 2f (see Table 2).

Current usage metrics show cumulative count of Article Views (full-text article views including HTML views, PDF and ePub downloads, according to the available data) and Abstracts Views on Vision4Press platform.

Data correspond to usage on the plateform after 2015. The current usage metrics is available 48-96 hours after online publication and is updated daily on week days.

Initial download of the metrics may take a while.