Open Access
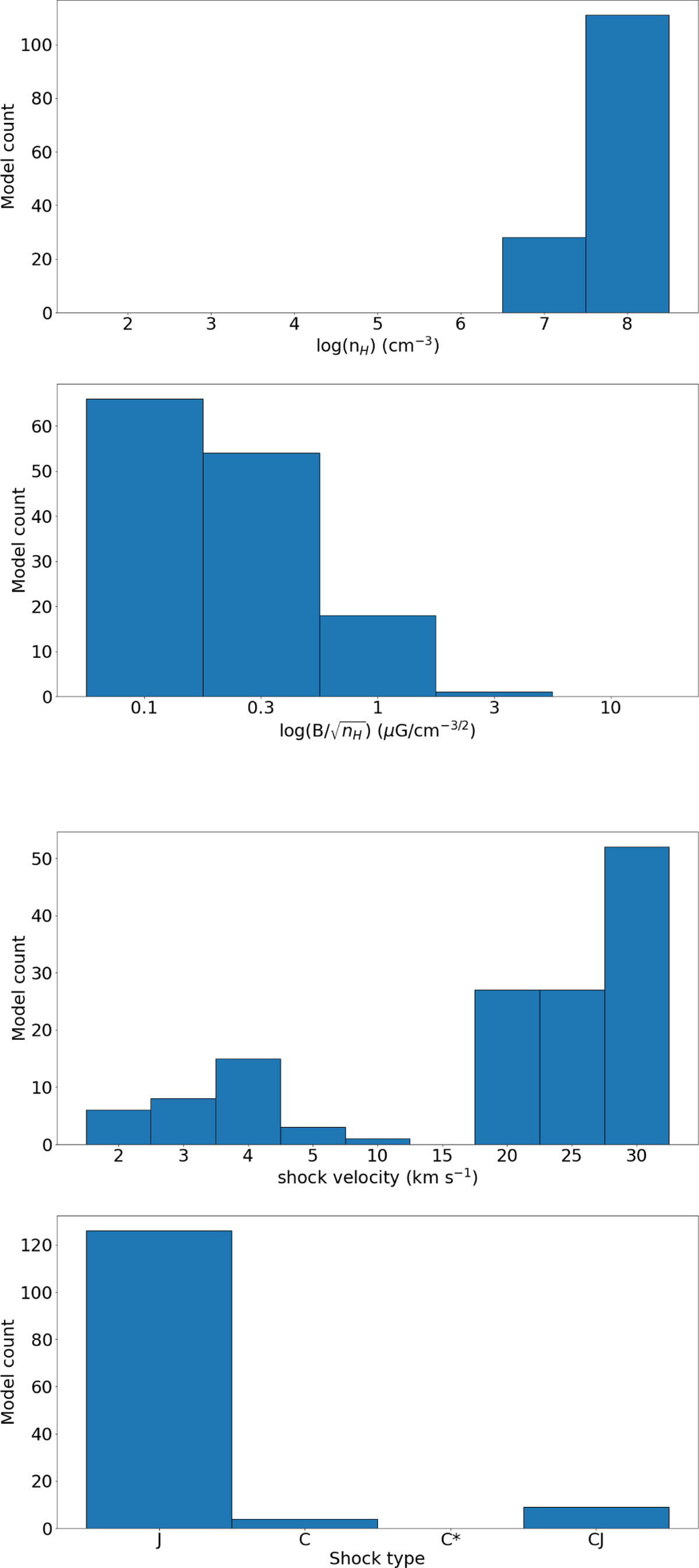
Fig. F.1

Download original image
Histograms of models from Kristensen et al. (2023) in agreement with the observed H2 line ratios and upper limits. From top to bottom, the models show the following: the pre-shock density, scaled transverse magnetic field, shock velocity, and shock type.
Current usage metrics show cumulative count of Article Views (full-text article views including HTML views, PDF and ePub downloads, according to the available data) and Abstracts Views on Vision4Press platform.
Data correspond to usage on the plateform after 2015. The current usage metrics is available 48-96 hours after online publication and is updated daily on week days.
Initial download of the metrics may take a while.