Open Access

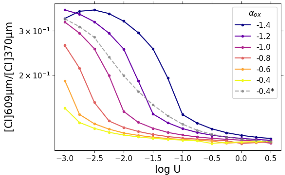
Fig. 6.

image

Download original image

Neutral carbon [CI]609 μm/[CI]370 μm ratio from our CLOUDY models as a function of the ionization parameter. Each color represents varying X-ray to UV ratios. The metallicity is fixed to 1 Z, the AV to 10 mag, and the hydrogen density to 103 cm−3. The gray dashed line (denoted by * in the legend) represents αox = −0.4 but with an AV = 100 mag.

Current usage metrics show cumulative count of Article Views (full-text article views including HTML views, PDF and ePub downloads, according to the available data) and Abstracts Views on Vision4Press platform.

Data correspond to usage on the plateform after 2015. The current usage metrics is available 48-96 hours after online publication and is updated daily on week days.

Initial download of the metrics may take a while.