Open Access
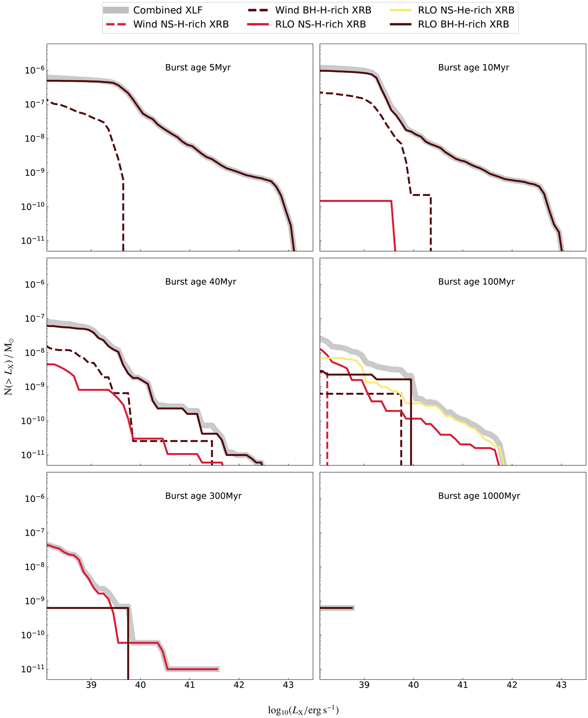
Fig. 4.

Download original image
Synthetic XLFs of burst populations for model A. The populations are further split into the type of the XRBs (RLO or wind), type of accretors (BH or NS) and type of donors (H-rich or He-rich). The combined XLF is shown by the dotted-gray line.
Current usage metrics show cumulative count of Article Views (full-text article views including HTML views, PDF and ePub downloads, according to the available data) and Abstracts Views on Vision4Press platform.
Data correspond to usage on the plateform after 2015. The current usage metrics is available 48-96 hours after online publication and is updated daily on week days.
Initial download of the metrics may take a while.