Fig. 4.

Download original image
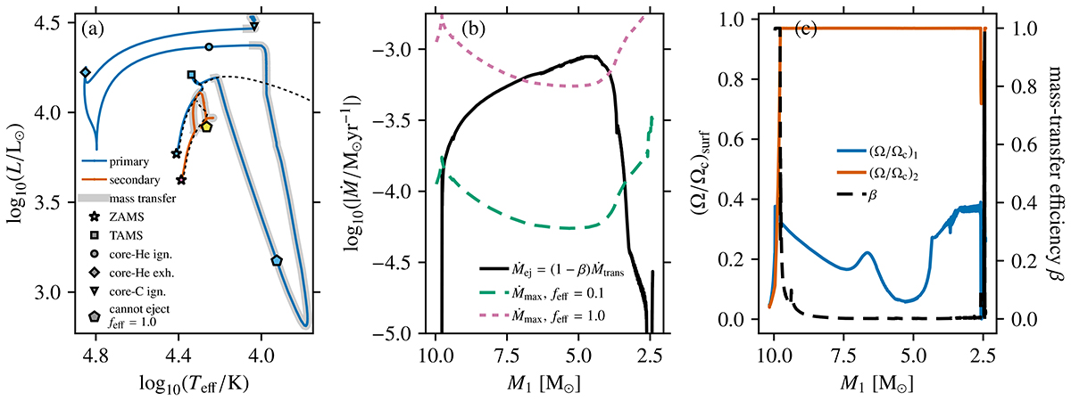
Example of a M1, i = 10.2 M⊙, qi = 0.9, and ai = 39.2 R⊙ binary star model in which non-conservative mass transfer occurs and for which the non-accreted matter cannot be driven to infinity. Panel a is the same as Fig. 3a (‘ign.’ = ‘ignition’ and ‘exh.’ = ‘exhaustion’). In panel b, the mass-loss rate of the secondary (solid black line) is compared to the maximum mass-loss rate Ṁmax (dashed lines; pink for feff = 1.0, green for feff = 0.1) set by Eq. (8). The surface rotation rates (solid blue and orange lines) and mass transfer efficiency (dashed black line) are shown in panel c as a function of the primary mass.
Current usage metrics show cumulative count of Article Views (full-text article views including HTML views, PDF and ePub downloads, according to the available data) and Abstracts Views on Vision4Press platform.
Data correspond to usage on the plateform after 2015. The current usage metrics is available 48-96 hours after online publication and is updated daily on week days.
Initial download of the metrics may take a while.