Fig. 6.

Download original image
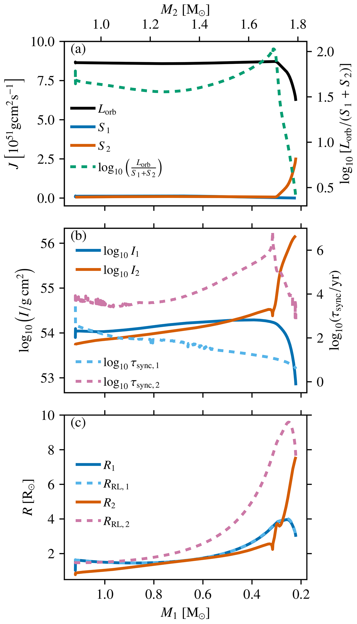
Example of a M1, i = 1.1 M⊙, qi = 0.8 and ai = 4.1 R⊙ binary system in which tides lead to contact. In Panel a we show the exchange between the orbital angular momentum Lorb (solid black line) and the secondary’s spin angular momentum S2 (solid orange line), which coincides with the decrease in Lorb/(S1 + S2) (dashed green line). The primary’s spin angular momentum S1 is shown with a solid blue line. Panel b shows the evolution of the moment of inertia (solid lines) and tidal synchronisation timescale (dashed lines) for both components. While the moment of inertia of the primary decreases around M1 = 0.3 M⊙, it sharply increases for the secondary. At the same time, the secondary star’s tidal synchronisation timescale decreases by approximately two orders of magnitude. Panel c shows the evolution of the primary’s and secondary’s radii (solid lines) and Roche lobe radii (dashed lines). While the former fills its Roche lobe, tides cause orbital shrinkage, which results in the secondary also filling its Roche lobe.
Current usage metrics show cumulative count of Article Views (full-text article views including HTML views, PDF and ePub downloads, according to the available data) and Abstracts Views on Vision4Press platform.
Data correspond to usage on the plateform after 2015. The current usage metrics is available 48-96 hours after online publication and is updated daily on week days.
Initial download of the metrics may take a while.