Fig. 14

Download original image
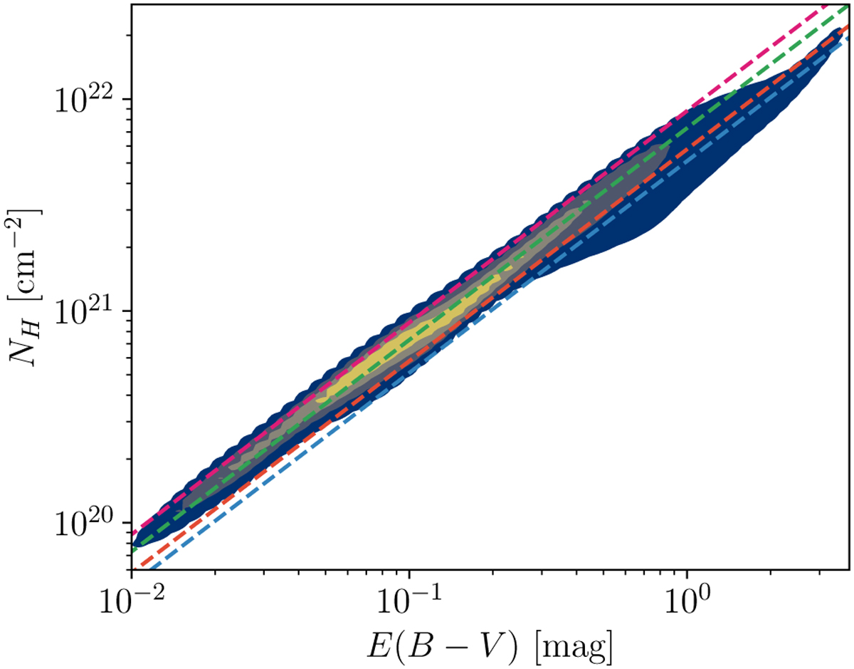
Total hydrogen column density versus dust reddening. The colored curves correspond to previously constrained dust-to-gas ratios. The blue, red, green, and magenta curves correspond to NH/E(B – V) = 5.1 (Kalberla et al. 2020), 5.8 (Bohlin et al. 1978), 7.0 (Planck Collaboration XI 2014), and 8.8 (Lenz et al. 2017) x1021 cm-2 mag-1, respectively.
Current usage metrics show cumulative count of Article Views (full-text article views including HTML views, PDF and ePub downloads, according to the available data) and Abstracts Views on Vision4Press platform.
Data correspond to usage on the plateform after 2015. The current usage metrics is available 48-96 hours after online publication and is updated daily on week days.
Initial download of the metrics may take a while.