Fig. 1

Download original image
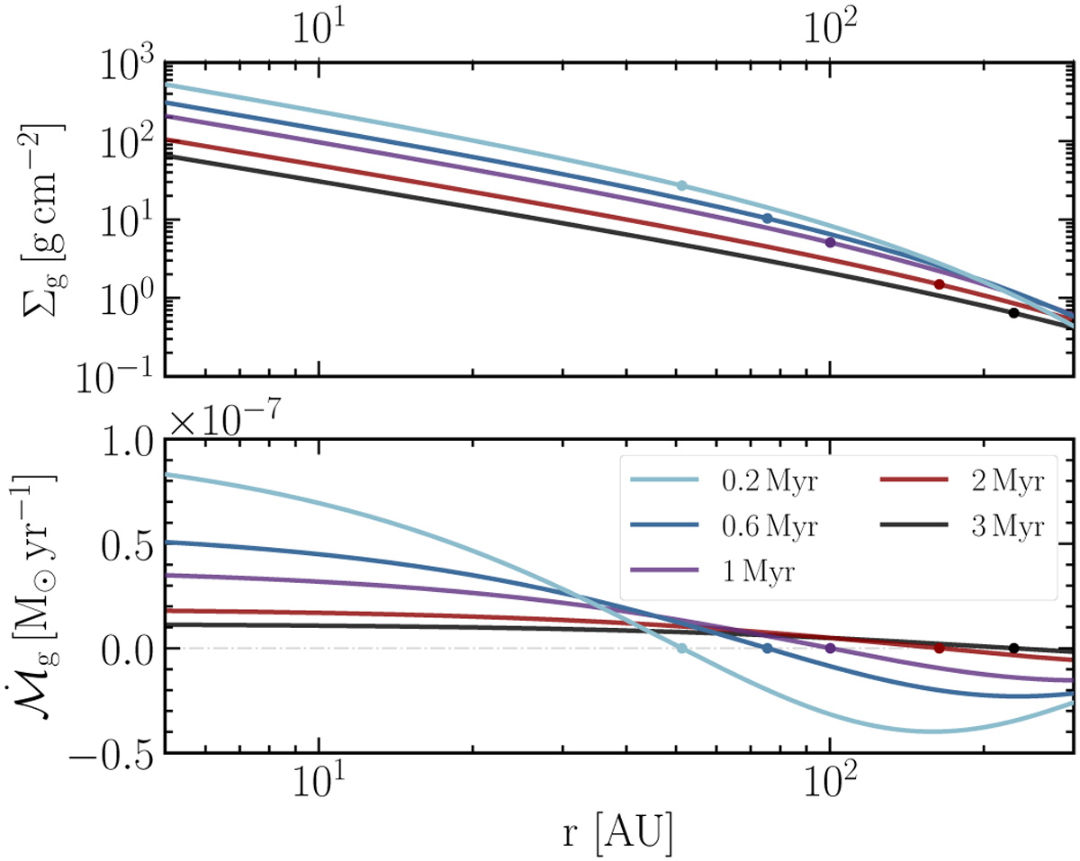
Gas structure in the outer regions of the protoplanetary disk at different times, for our fiducial model with an initial disk size of R1 = 100 AU and an initial mass of 0.17 M⊙. Top: gas surface density profile from Eq. (1). Bottom: radial gas flux from Eq. (8). The dots illustrate the location where the gas moves outwards with time.
Current usage metrics show cumulative count of Article Views (full-text article views including HTML views, PDF and ePub downloads, according to the available data) and Abstracts Views on Vision4Press platform.
Data correspond to usage on the plateform after 2015. The current usage metrics is available 48-96 hours after online publication and is updated daily on week days.
Initial download of the metrics may take a while.