Fig. 3

Download original image
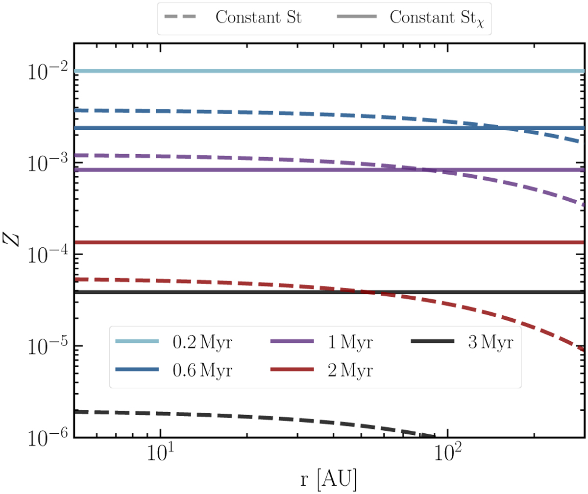
Evolution of the analytical expression for metallicity Z according to constant St (Eq. (32)), indicated by dashed lines, and constant Stχ (Eq. (36)), indicated by solid lines. For both models, we apply the initial condition Z0 = 0.01 at 0.2 Myr and therefore the initial lines overlap. Then, until the metallicity drops to ~10% at approximately 1 Myr, both expressions yield a similar evolution. However, the metallicity decreases faster for the constant St case in the following Myrs. The employed fiducial values are listed in Table 1.
Current usage metrics show cumulative count of Article Views (full-text article views including HTML views, PDF and ePub downloads, according to the available data) and Abstracts Views on Vision4Press platform.
Data correspond to usage on the plateform after 2015. The current usage metrics is available 48-96 hours after online publication and is updated daily on week days.
Initial download of the metrics may take a while.