Open Access

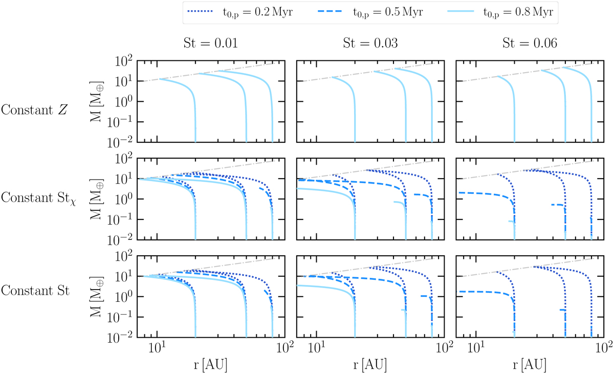
Fig. 7

image

Download original image

Numerically integrated growth tracks for three different pebble fluxes or metallicity models (row-to-row) and different Stokes numbers (column-to-column). In the constant Stχ model, St = 0.01, 0.03 and 0.06 are employed to set the initial St at radial distance R1 (see top panel Fig. 2). Protoplanets with initial mass of M0 = 0.01 M are placed at r0 = 20, 50 or 80 AU at different formation times (values indicated in the legend). We stop the integration either at the end of the disk lifetime of tf = 5 Myr or earlier if they reach Miso, indicated by the gray dashed-dotted line. When Z is constant, which is equivalent to assuming that the pebble-to-gas flux ratio in the inner regions is constant, the growth tracks are independent of t0,p. Consequently, the growth is overestimated compared to constant St and Stχ, especially when St = 0.03 or 0.06 and when t0,p = 0.5 Myr or 0.8 Myr. Models with constant Stχ and St from Eqs. (36) and (32), respectively, yield similar results.

Current usage metrics show cumulative count of Article Views (full-text article views including HTML views, PDF and ePub downloads, according to the available data) and Abstracts Views on Vision4Press platform.

Data correspond to usage on the plateform after 2015. The current usage metrics is available 48-96 hours after online publication and is updated daily on week days.

Initial download of the metrics may take a while.