Open Access

Fig. D.2

image

Download original image

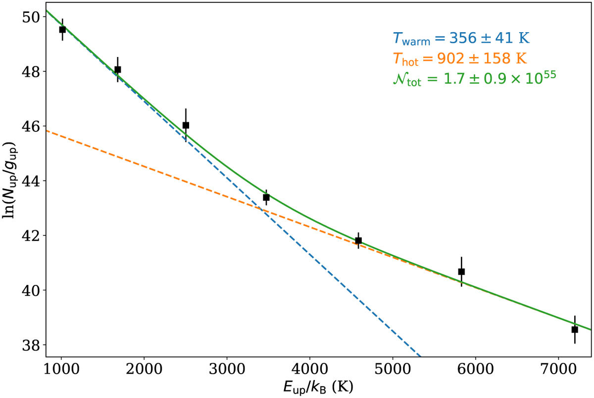
Rotational diagram of H2 derived from the MIRI-MRS data. The black data points indicate the measured fluxes that are corrected for extinction (see Table. D.l). The best-fit two-component model is presented as the solid green line, and the two individual components are shown as the dashed blue (warm) and orange (hot) lines. The best-fit parameters are displayed in the top right.

Current usage metrics show cumulative count of Article Views (full-text article views including HTML views, PDF and ePub downloads, according to the available data) and Abstracts Views on Vision4Press platform.

Data correspond to usage on the plateform after 2015. The current usage metrics is available 48-96 hours after online publication and is updated daily on week days.

Initial download of the metrics may take a while.