Fig. 5.

Download original image
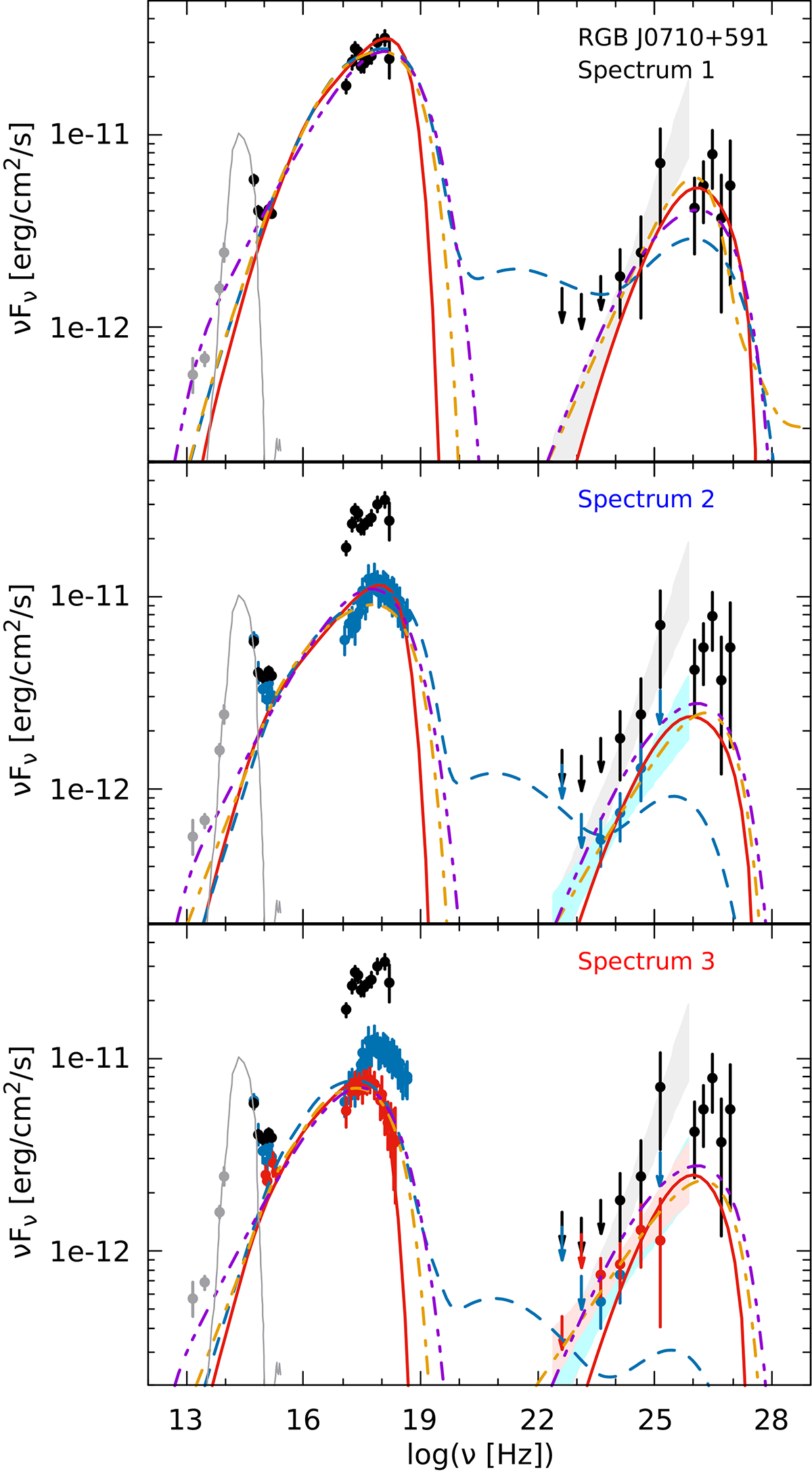
Main (color) and archival (grey) data sets of RGB J0710+591, as well as the various intrinsic models (Top: for Spectrum 1 (black); Middle: for Spectrum 2 (blue); Bottom: for Spectrum 3 (red)): SSC (red solid line), e-p-shock (magenta dash-double-dotted line), LHπ (blue dashed line), and LHp (orange dot-dashed line). VHE γ-ray data have been corrected for EBL absorption. The thin grey line marks the host galaxy template of Silva et al. (1998).
Current usage metrics show cumulative count of Article Views (full-text article views including HTML views, PDF and ePub downloads, according to the available data) and Abstracts Views on Vision4Press platform.
Data correspond to usage on the plateform after 2015. The current usage metrics is available 48-96 hours after online publication and is updated daily on week days.
Initial download of the metrics may take a while.