Open Access
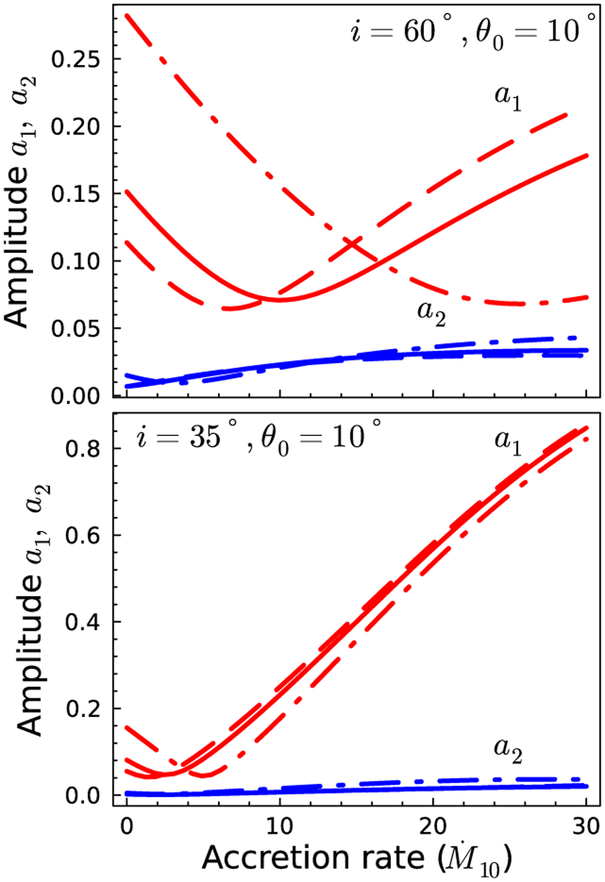
Fig. 4

Download original image
Amplitudes a1 (red) and a2 (blue) as a function of accretion rate for i= 60° (top) and i= 35° (bottom) for a single hotspot with an angular radius of ω = 25° and magnetic obliquity of θ0 = 10°. The dashed, solid, and dash-dotted lines correspond to energies of 20, 10, and 3 keV, respectively.
Current usage metrics show cumulative count of Article Views (full-text article views including HTML views, PDF and ePub downloads, according to the available data) and Abstracts Views on Vision4Press platform.
Data correspond to usage on the plateform after 2015. The current usage metrics is available 48-96 hours after online publication and is updated daily on week days.
Initial download of the metrics may take a while.