Fig. 1

Download original image
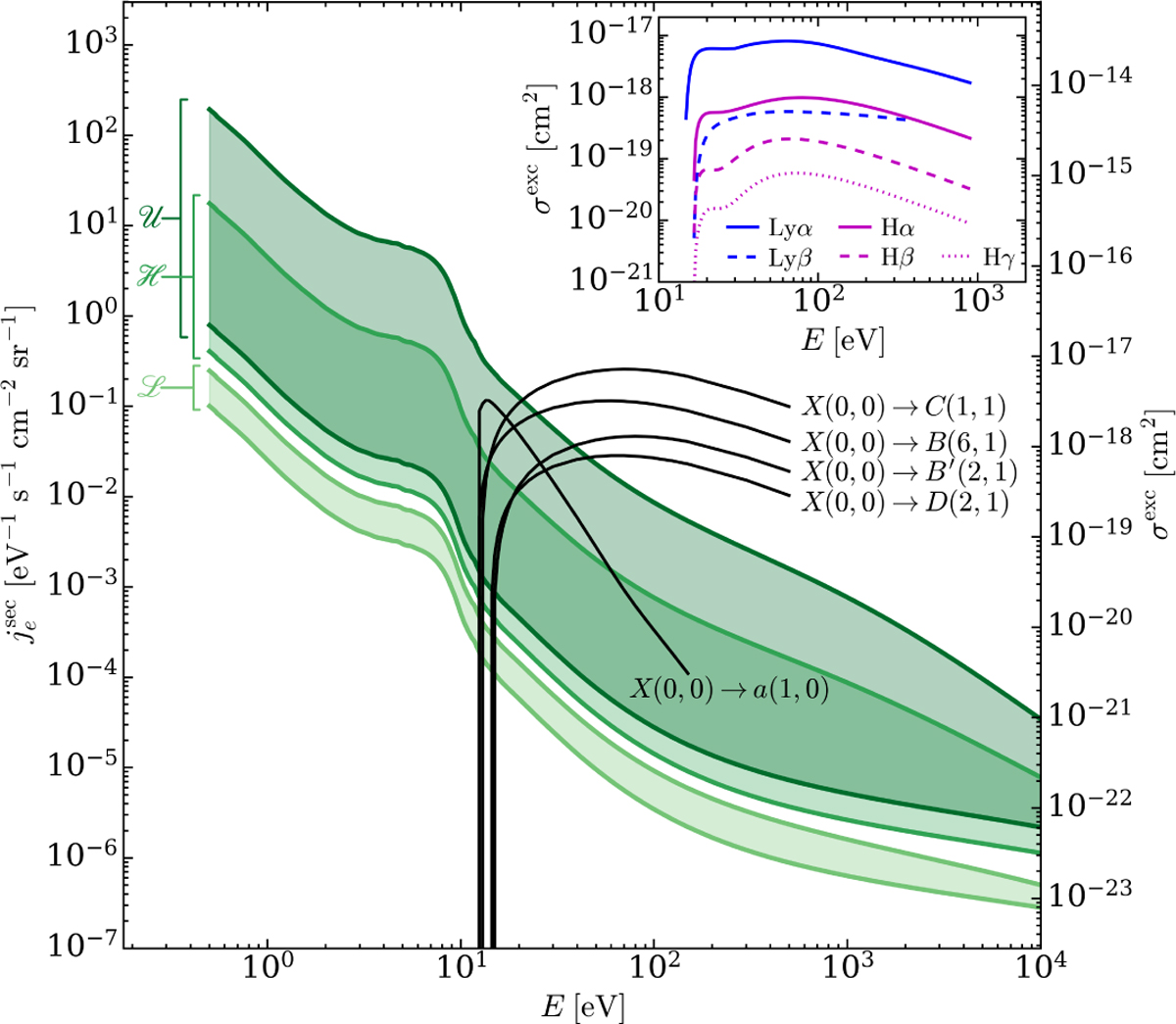
Secondary-electron spectra compared to some electron excitation cross sections for singlet B, C, B′, and D and triplet a states as a function of the energy (Scarlett et al. 2023). The green-scale shaded regions enclose the secondary-electron spectra calculated at N = 1020 cm−2 (upper boundary) and 1024 cm−2 (lower boundary) for the three Galactic CR proton models (ℒ, ℋ, 𝒰). The five cross sections shown in black solid lines are the strongest ones for the excitation of the B, C, B′, and D singlet states and the triplet a state from the ground state X(0, 0). The inset shows the electron excitation cross section of atomic hydrogen leading to Lyman and Balmer lines (Möhlmann et al. 1977; Karolis & Harting 1978; van Zyl et al. 1989; Ajello et al. 1991, 1996).
Current usage metrics show cumulative count of Article Views (full-text article views including HTML views, PDF and ePub downloads, according to the available data) and Abstracts Views on Vision4Press platform.
Data correspond to usage on the plateform after 2015. The current usage metrics is available 48-96 hours after online publication and is updated daily on week days.
Initial download of the metrics may take a while.