Open Access

Fig. 9

image

Download original image

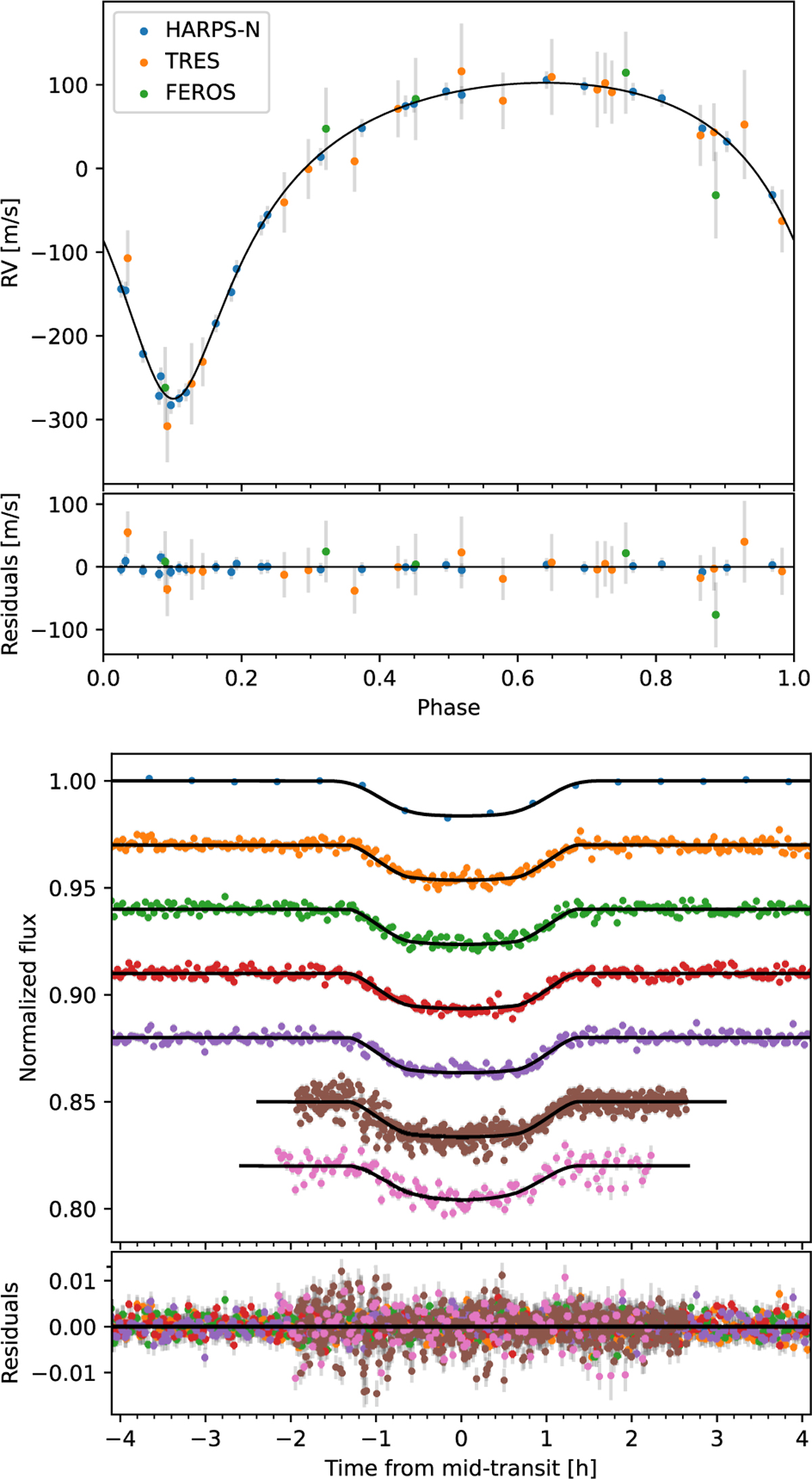
Upper panel: HARPS-N (blue points), TRES (orange), and FEROS (green) RV data with the overplotted fit from the 1p model. Lower panel: from top to bottom, TESS transits from Sectors 17 (long cadence), 42 (2 transits), 43, and 57, and LCO and KeplerCam light curves. The black line is the inferred 1p model.

Current usage metrics show cumulative count of Article Views (full-text article views including HTML views, PDF and ePub downloads, according to the available data) and Abstracts Views on Vision4Press platform.

Data correspond to usage on the plateform after 2015. The current usage metrics is available 48-96 hours after online publication and is updated daily on week days.

Initial download of the metrics may take a while.