Fig. 8

Download original image
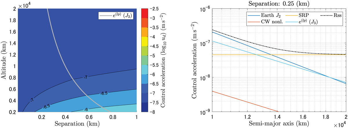
Control acceleration magnitudes for the linear astronomical interferometer. The left panel shows the contour map of the control acceleration magnitudes with respect to the separation (defined as ρy) and altitude. For the long-period eccentricity drift owing to Earth’s J3 gravity, the more propellant-saving approach appeared above the line (specified by e(lp) (J3)) when applying method (a) in Fig. 1, while it appeared below the line when applying method (b) in Fig. 1. The borderlines for the secular and long-period drifts of the eccentricity vector owing to lunisolar gravity were abbreviated because their magnitudes were sufficiently smaller than 10−9 m s−2 in the plotted region. The right panel shows the control acceleration magnitudes at the desired separation (0.25 km) with respect to the semimajor axis. The atmospheric drag, lunisolar gravity, and secular and long-period drifts of the eccentricity vector owing to the lunisolar gravity were removed from the figure because their magnitudes were sufficiently smaller than 10−9 m s−2.
Current usage metrics show cumulative count of Article Views (full-text article views including HTML views, PDF and ePub downloads, according to the available data) and Abstracts Views on Vision4Press platform.
Data correspond to usage on the plateform after 2015. The current usage metrics is available 48-96 hours after online publication and is updated daily on week days.
Initial download of the metrics may take a while.