Fig. B.5

Download original image
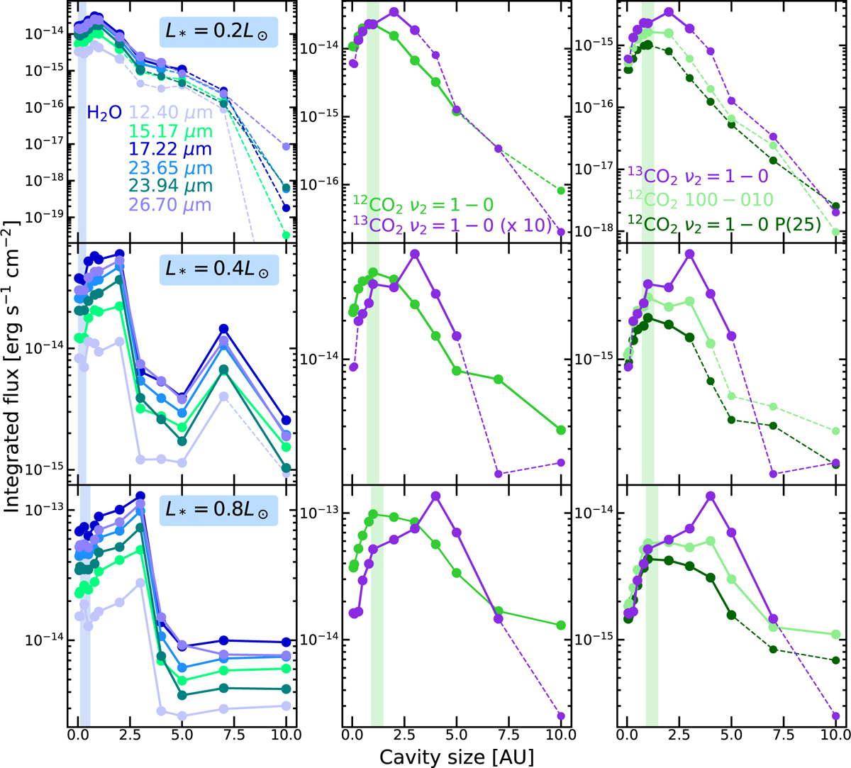
Integrated fluxes of several H2O (left panel), 12CO2, and 13CO2 (middle and right panels) line complexes plotted as a function of cavity size for the grids with input spectra with L* = 0.2, 0.4,0.8 L⊙. Properties of these line complexes can be found in Table 2. Nominal H2O and CO2 midplane snowlines in the full disk model are indicated with colored bars. Data points are connected by dashed lines if the line flux drops below 10−15 erg s−1 cm−2, indicating that the lines will become more difficult to observe.
Current usage metrics show cumulative count of Article Views (full-text article views including HTML views, PDF and ePub downloads, according to the available data) and Abstracts Views on Vision4Press platform.
Data correspond to usage on the plateform after 2015. The current usage metrics is available 48-96 hours after online publication and is updated daily on week days.
Initial download of the metrics may take a while.