Fig. 1.

Download original image
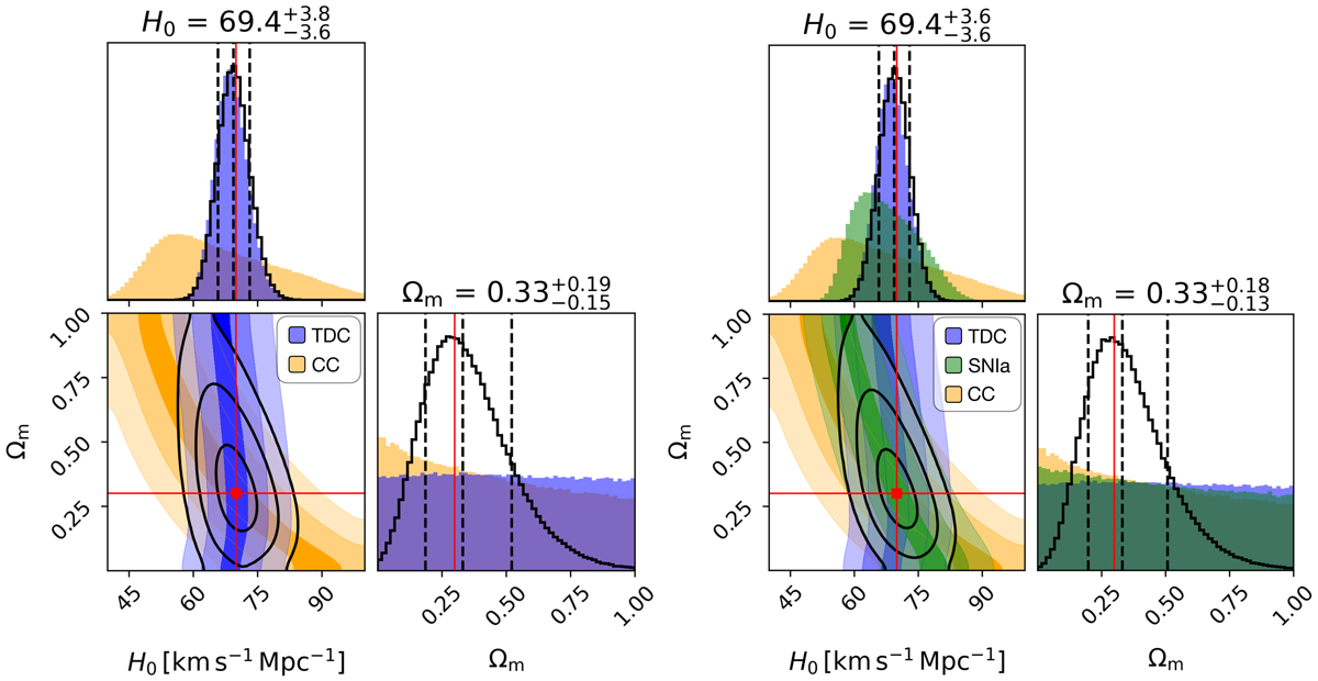
Inferred values for the cosmological parameters H0 and Ωm in a flat-ΛCDM model, assuming a total relative uncertainty of 5%, 10%, and 5% for DΔt, H(z), and DL, respectively (we fixed zd = 0.54, zs = 1.49, and zSNIa = 0.54). The marginalised posterior distributions for the TDC, CC, and SNIa techniques are shown in blue, orange, and green, respectively. The total marginalised posterior distributions (black) obtained by combining the TDC and CC, and TDC, CC, and SNIa methods are shown in the left and right panels, respectively. The 16th, 50th, and 84th percentiles of the combined marginalised distributions are highlighted with vertical dashed lines and the associated values are reported. The fiducial values are marked in red. The contour levels on the planes represent the 1, 2, and 3σ confidence regions.
Current usage metrics show cumulative count of Article Views (full-text article views including HTML views, PDF and ePub downloads, according to the available data) and Abstracts Views on Vision4Press platform.
Data correspond to usage on the plateform after 2015. The current usage metrics is available 48-96 hours after online publication and is updated daily on week days.
Initial download of the metrics may take a while.