Fig. 4.

Download original image
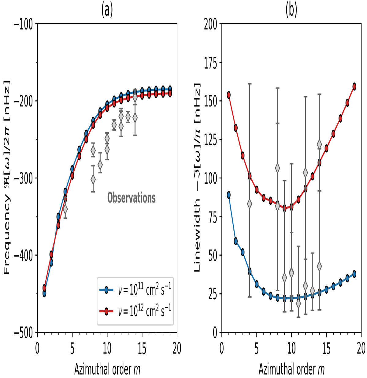
(a) Propagation frequencies and (b) linewidths of the HHS22 modes obtained from the linear calculations with two different values of turbulent viscosity, ν. Blue and red points show the results with spatially uniform viscosity of ν = 1011 cm2 s−1 and for 1012 cm2 s−1, respectively. The model 3 is used (with solar density stratification and solar differential rotation) and the background is assumed to be adiabatic (δ = 0). The observed values reported by hanson2022 are shown by gray diamonds.
Current usage metrics show cumulative count of Article Views (full-text article views including HTML views, PDF and ePub downloads, according to the available data) and Abstracts Views on Vision4Press platform.
Data correspond to usage on the plateform after 2015. The current usage metrics is available 48-96 hours after online publication and is updated daily on week days.
Initial download of the metrics may take a while.