Open Access
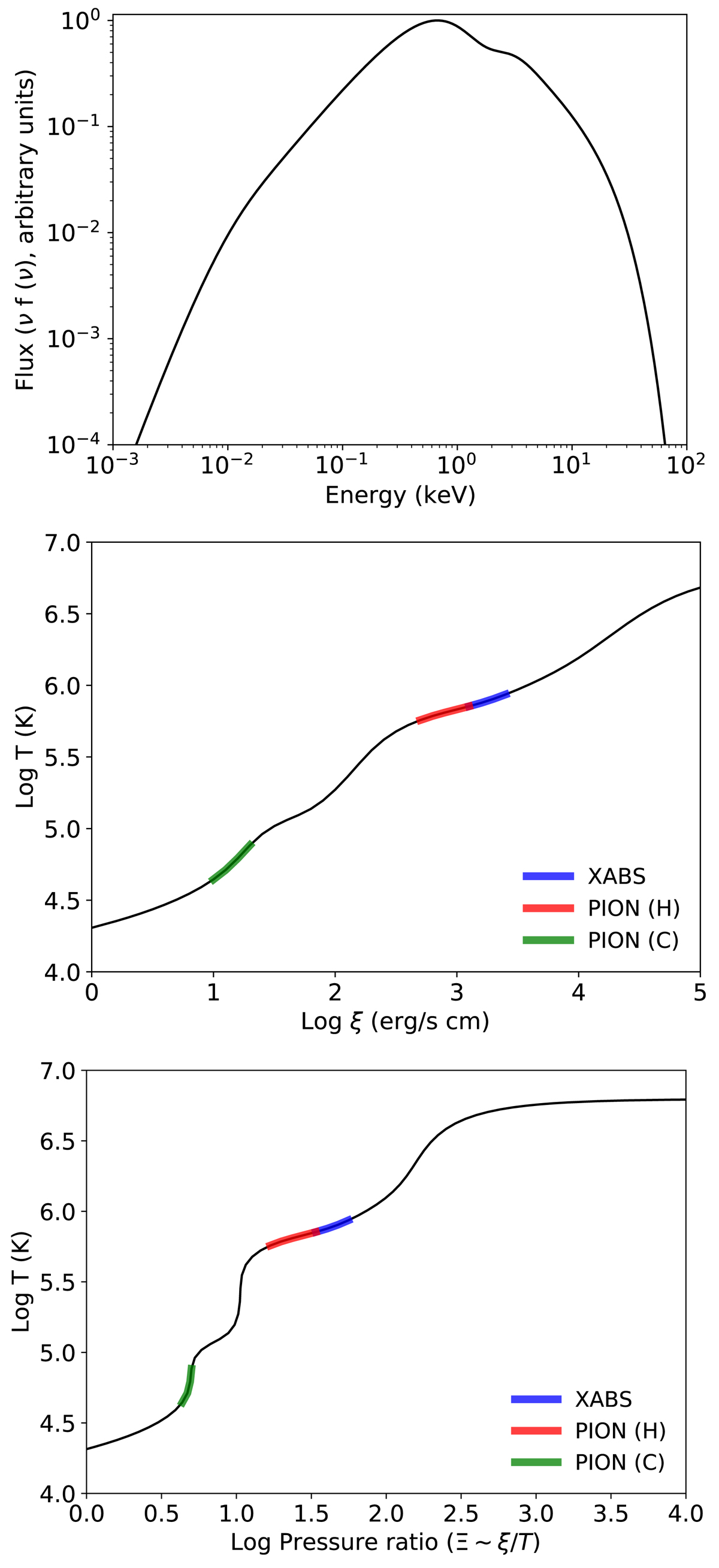
Fig. A.1.

Download original image
Spectral energy distribution (SED, top panel), photo-ionisation balance (middle panel), and log T − Ξ stability curves (bottom panel). The plasma is expected to be generally stable. Solid segments show the best-fit solutions for photoionised absorption (xabs) and hot/cool emission (pion) components.
Current usage metrics show cumulative count of Article Views (full-text article views including HTML views, PDF and ePub downloads, according to the available data) and Abstracts Views on Vision4Press platform.
Data correspond to usage on the plateform after 2015. The current usage metrics is available 48-96 hours after online publication and is updated daily on week days.
Initial download of the metrics may take a while.