Fig. 2.

Download original image
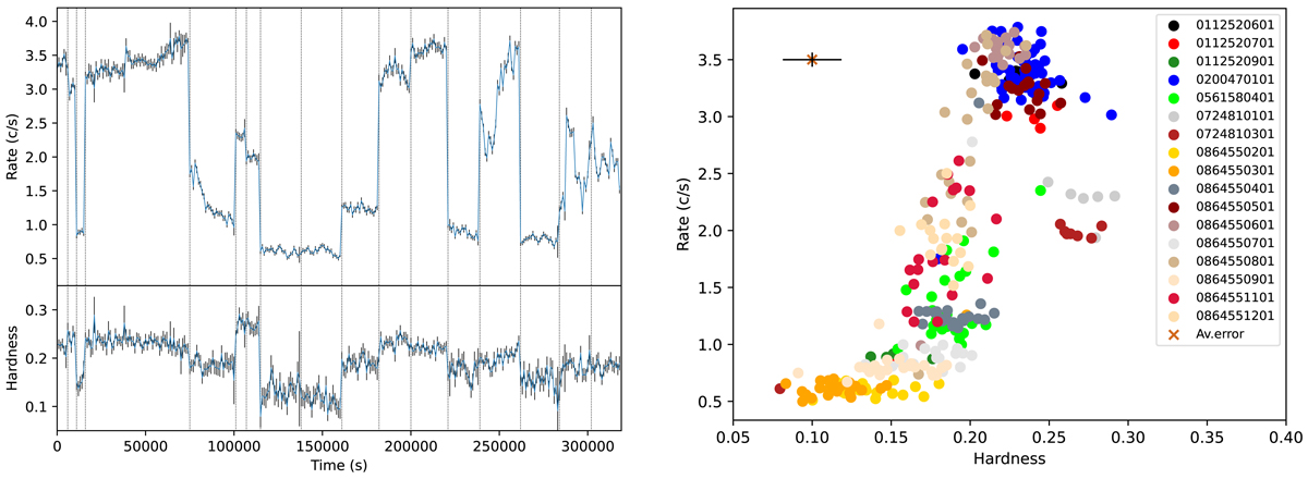
Concatenated XMM-Newton EPIC-PN light curves for the 17 well-exposed observations of Ho II X-1 and the hardness ratio below (here defined as the (1.5–10 keV/0.3–10 keV counts ratio) from 2002 to 2021 with time bins of 1 ks (left)). The vertical dotted lines were included in order to separate each of the individual XMM observations. Hardness-intensity diagram where the points belonging to the same observation have the same colour (right).
Current usage metrics show cumulative count of Article Views (full-text article views including HTML views, PDF and ePub downloads, according to the available data) and Abstracts Views on Vision4Press platform.
Data correspond to usage on the plateform after 2015. The current usage metrics is available 48-96 hours after online publication and is updated daily on week days.
Initial download of the metrics may take a while.