Fig. 4.

Download original image
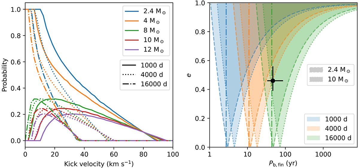
Results from supernova kick simulations. The left-hand panel shows the probability that the post-supernova binary remains bound as a function of kick velocity. These probabilities were computed with isotropic kicks for a range of pre-supernova primary masses for a helium-star progenitor of 2.4 and 4 M⊙ and direct supernova explosions of 8, 10, and 12 M⊙ progenitors as well as pre-supernova orbital periods of 1000, 4000, and 16 000 d. The right-hand panel shows the resulting post-supernova orbital period Pb, fin and eccentricity for a range of pre-supernova masses and orbital periods. The dash-dotted vertical lines indicate the pre-supernova orbital periods with the wedges the resulting post-supernova parameters. The orbital constraints for PSR J0210+5845 are shown in black with error bars.
Current usage metrics show cumulative count of Article Views (full-text article views including HTML views, PDF and ePub downloads, according to the available data) and Abstracts Views on Vision4Press platform.
Data correspond to usage on the plateform after 2015. The current usage metrics is available 48-96 hours after online publication and is updated daily on week days.
Initial download of the metrics may take a while.