Fig. 4.

Download original image
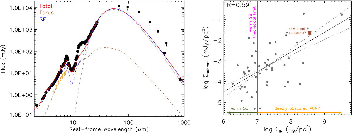
Left panel: IR-to-submm SED of II Zw 096-D1 (black circles: JWST spectrum and ALMA continuum photometric data; black squares: Herschel fluxes from Chu et al. 2017). Orange stars correspond to the derived IR continuum from the observed H2O and CO bands. Dashed brown and dot-dashed blue lines correspond to the torus and SF-extended components. The dotted grey curve represents a grey body of 57 ± 4 K. The solid red line corresponds to the total model. Right panel: Submm vs. IR surface brightness. The magenta vertical line represents the theoretical limit for a warm SB (Thompson et al. 2005). Brown square and grey circles correspond to the surface brightness of D1 found in this work and those of IR galaxies from Falstad et al. (2021). Grey lines correspond to the best linear fit (R = 0.59; log (Σsubmm) = log (ΣIR)×(0.96 ± 0.21) – 10.24 ± 1.53).
Current usage metrics show cumulative count of Article Views (full-text article views including HTML views, PDF and ePub downloads, according to the available data) and Abstracts Views on Vision4Press platform.
Data correspond to usage on the plateform after 2015. The current usage metrics is available 48-96 hours after online publication and is updated daily on week days.
Initial download of the metrics may take a while.