Open Access

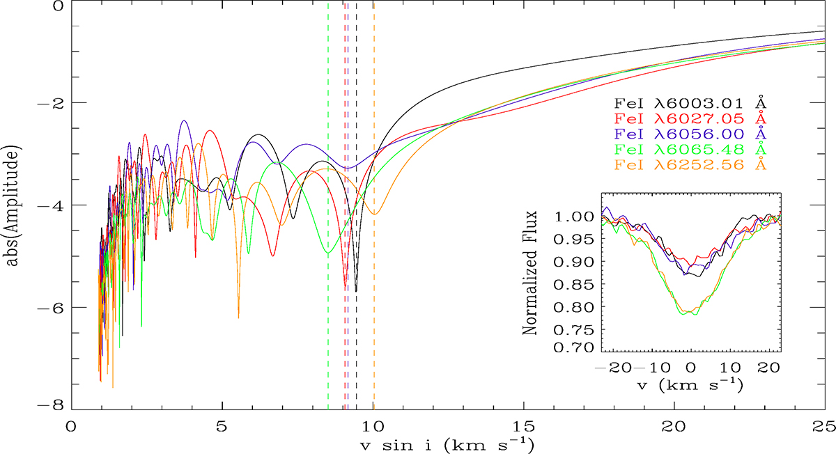
Fig. A.2.

image

Download original image

FFT of the Fe Iλλ 6003.011, 6027.051, 6056.004, 6065.481, and 6252.555 Å. First zeroes of the FFT, i.e. the v sin i values, are indicated by vertical dashed lines. The inset shows the spectral line profiles.

Current usage metrics show cumulative count of Article Views (full-text article views including HTML views, PDF and ePub downloads, according to the available data) and Abstracts Views on Vision4Press platform.

Data correspond to usage on the plateform after 2015. The current usage metrics is available 48-96 hours after online publication and is updated daily on week days.

Initial download of the metrics may take a while.