Open Access
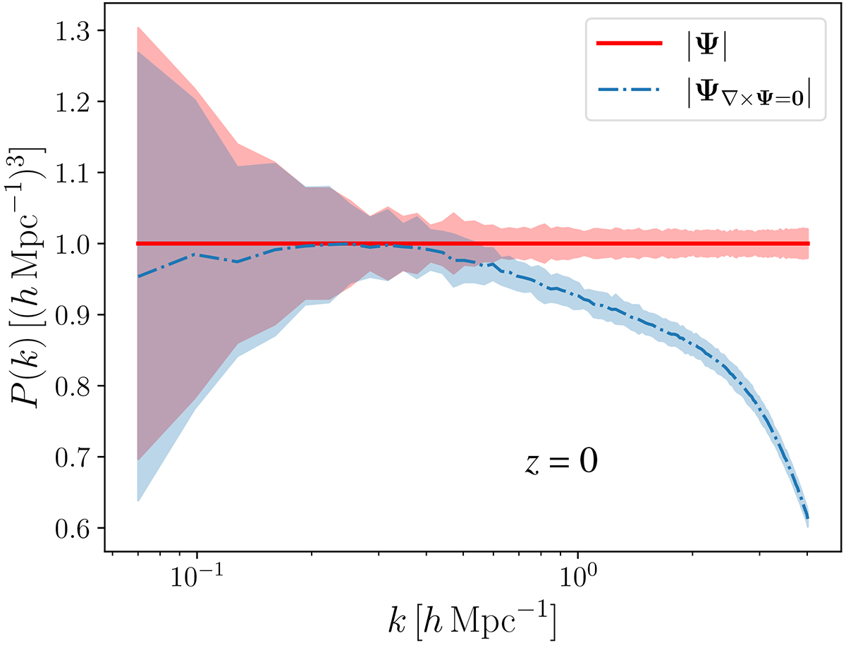
Fig. 1.

Download original image
Power spectra of the displacement fields from the Helmoltz decomposition for the FastPM simulations at z = 0 (mean and standard deviation) comparing the total component |Ψ| to the longitudinal one |Ψ∇ × Ψ = 0|. The 1-sigma contours have been computed from 25 FastPM simulations.
Current usage metrics show cumulative count of Article Views (full-text article views including HTML views, PDF and ePub downloads, according to the available data) and Abstracts Views on Vision4Press platform.
Data correspond to usage on the plateform after 2015. The current usage metrics is available 48-96 hours after online publication and is updated daily on week days.
Initial download of the metrics may take a while.