Fig. 3.

Download original image
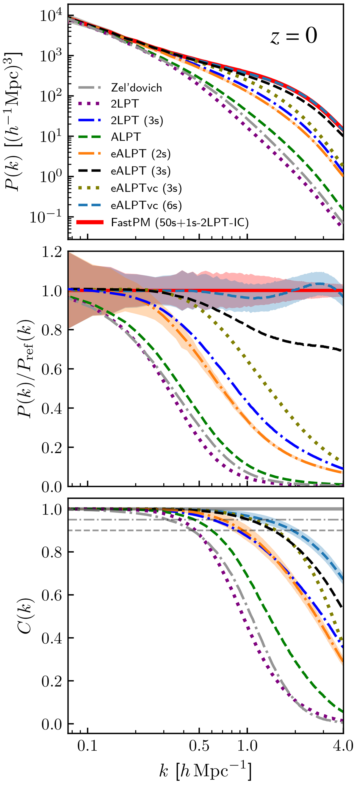
Power and cross power spectra at redshift z = 0 (averaging in Δk-bins for fields A and B: ) for the various approximate gravity solvers compared to fast particle-mesh based N-body calculations (FastPM). The Zel’dovich, 2LPT, and ALPT cases require only a one-step calculation. For the rest, the number of steps is indicated in parentheses. FastPM needs the first step for the ICs relying on 2LPT and then a minimal number of iterations compared to standard N-body simulations, which require iterations on the order of 103. Also shown are the 1-sigma contours from 25 fields for FastPM and the eALPT-limiting cases with the lowest and highest cross-correlations, two (w/o vc) and six (with vc) steps, respectively. The eALPT (3s) and the eALPTvc (6s) cases yield power spectra with precision within a few per cent up to black k ≃ 0.3 and 4 h Mpc−1(the Nyquist frequency) as well as correlations of black 95% and 98% at k ≃ 1 h Mpc−1, respectively.
Current usage metrics show cumulative count of Article Views (full-text article views including HTML views, PDF and ePub downloads, according to the available data) and Abstracts Views on Vision4Press platform.
Data correspond to usage on the plateform after 2015. The current usage metrics is available 48-96 hours after online publication and is updated daily on week days.
Initial download of the metrics may take a while.