Open Access

Fig. 5.

image

Download original image

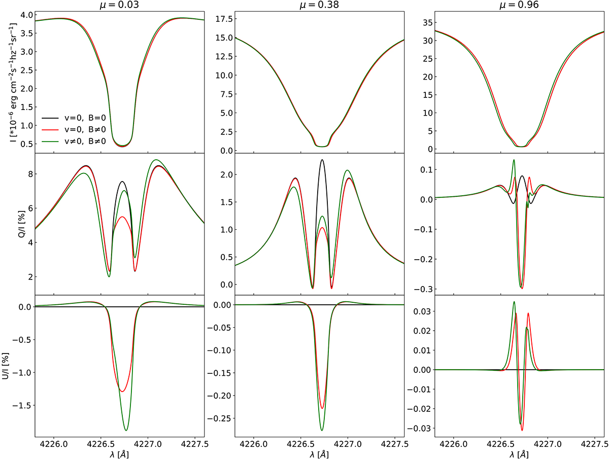
Results for model A: Emergent intensity I (upper row), Q/I (middle row) and U/I (lower row) profiles for the Ca I 4227 Å line, at μ = 0.03 (left column), μ = 0.38 (middle column), and μ = 0.96 (right column). Each panel shows the results obtained in the absence of magnetic fields and bulk velocities (black lines), including the model’s height-dependent magnetic field (red lines), and including the model’s height-dependent magnetic and bulk velocity fields (green lines). The reference direction for positive Stokes Q is the parallel to the closest limb.

Current usage metrics show cumulative count of Article Views (full-text article views including HTML views, PDF and ePub downloads, according to the available data) and Abstracts Views on Vision4Press platform.

Data correspond to usage on the plateform after 2015. The current usage metrics is available 48-96 hours after online publication and is updated daily on week days.

Initial download of the metrics may take a while.