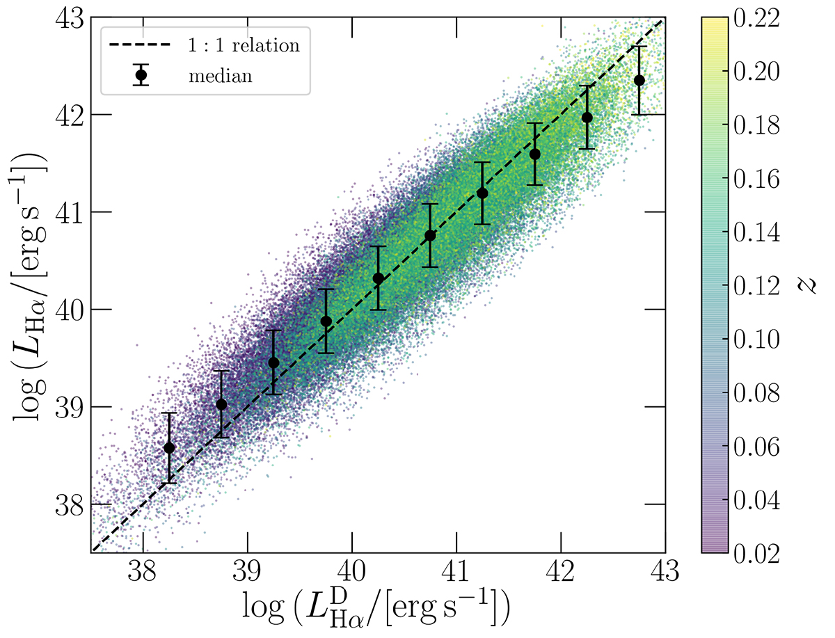
Fig. 1.

Download original image
Parent-ELG Hα luminosity computed using our our default aperture correction based on Hopkins et al. (2003; y-axis) versus the same quantity computed using an approximation to the Duarte Puertas et al. (2017) correction (z-axis), color-coded by redshift. We randomly show only 30 percent of the parent-ELG sample to avoid saturation. We overplot the median and 1σ dispersion of our LHα in bins of , as well as the 1:1 relation for comparison.
Current usage metrics show cumulative count of Article Views (full-text article views including HTML views, PDF and ePub downloads, according to the available data) and Abstracts Views on Vision4Press platform.
Data correspond to usage on the plateform after 2015. The current usage metrics is available 48-96 hours after online publication and is updated daily on week days.
Initial download of the metrics may take a while.