Fig. 12.

Download original image
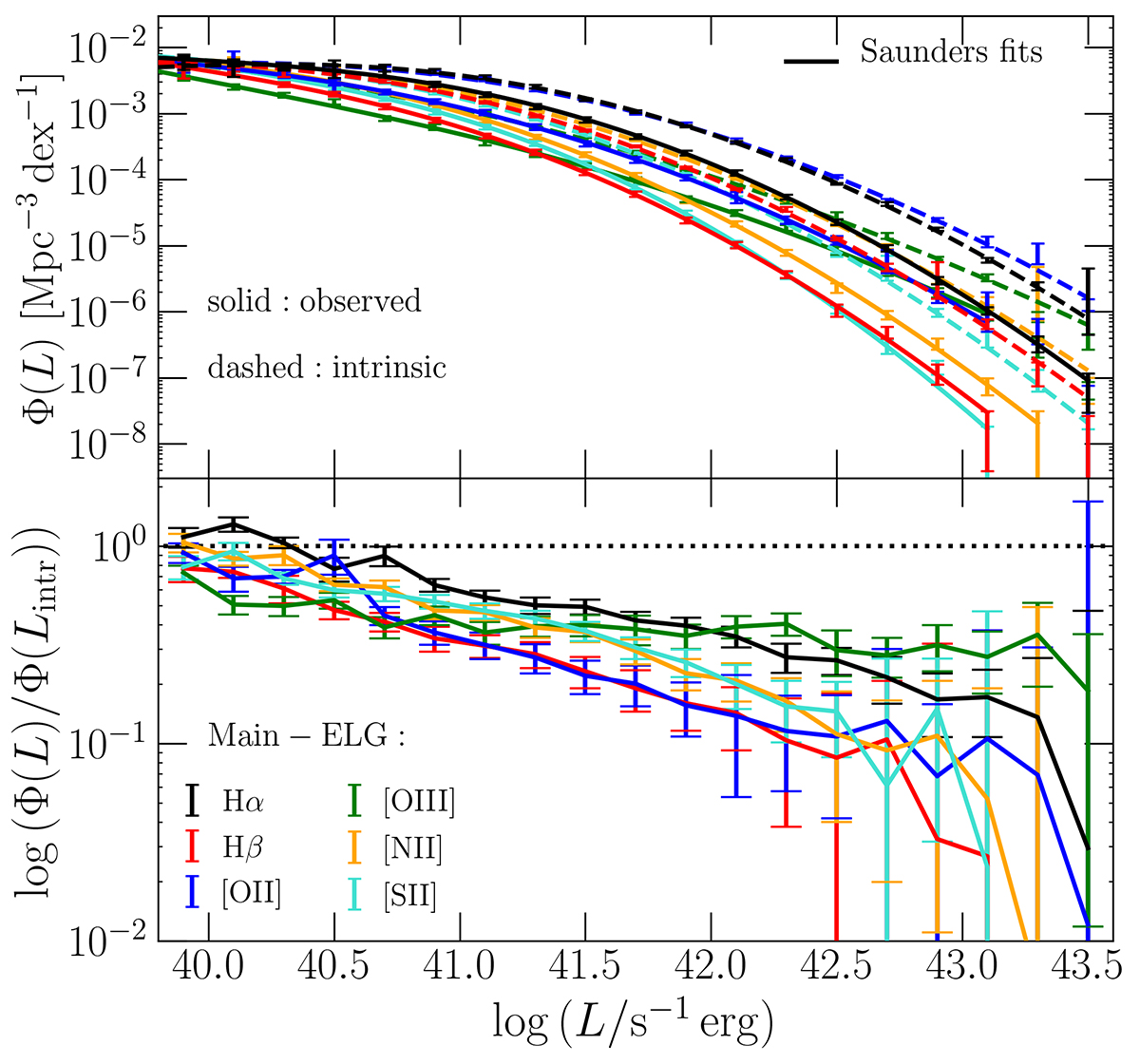
LFs compared for the six emission lines under study. Top panel: best Saunders fit to the observed (solid lines) and dust-corrected (dashed lines) line LFs, for the six studied emission lines, as indicated in the legend. Bottom panel: ratios between the observed and the intrinsic (dust-corrected) LF, for each emission line. In both panels the error bars are obtained from 50 jackknife realizations (Sect. 5.2).
Current usage metrics show cumulative count of Article Views (full-text article views including HTML views, PDF and ePub downloads, according to the available data) and Abstracts Views on Vision4Press platform.
Data correspond to usage on the plateform after 2015. The current usage metrics is available 48-96 hours after online publication and is updated daily on week days.
Initial download of the metrics may take a while.