Open Access
Fig. 10

Download original image
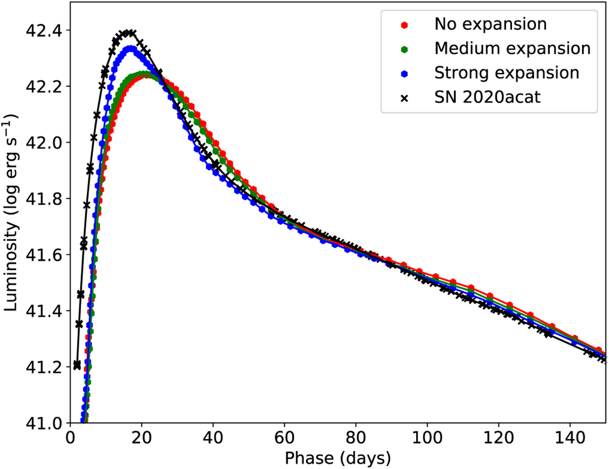
Pseudo-bolometric uBVriz light curves until 150 days for SN 2020acat and JEKYLL models with an initial mass of 17 M⊙, medium mixing, and no, medium, and strong expansion of the radioactive material.
Current usage metrics show cumulative count of Article Views (full-text article views including HTML views, PDF and ePub downloads, according to the available data) and Abstracts Views on Vision4Press platform.
Data correspond to usage on the plateform after 2015. The current usage metrics is available 48-96 hours after online publication and is updated daily on week days.
Initial download of the metrics may take a while.