Fig. 13

Download original image
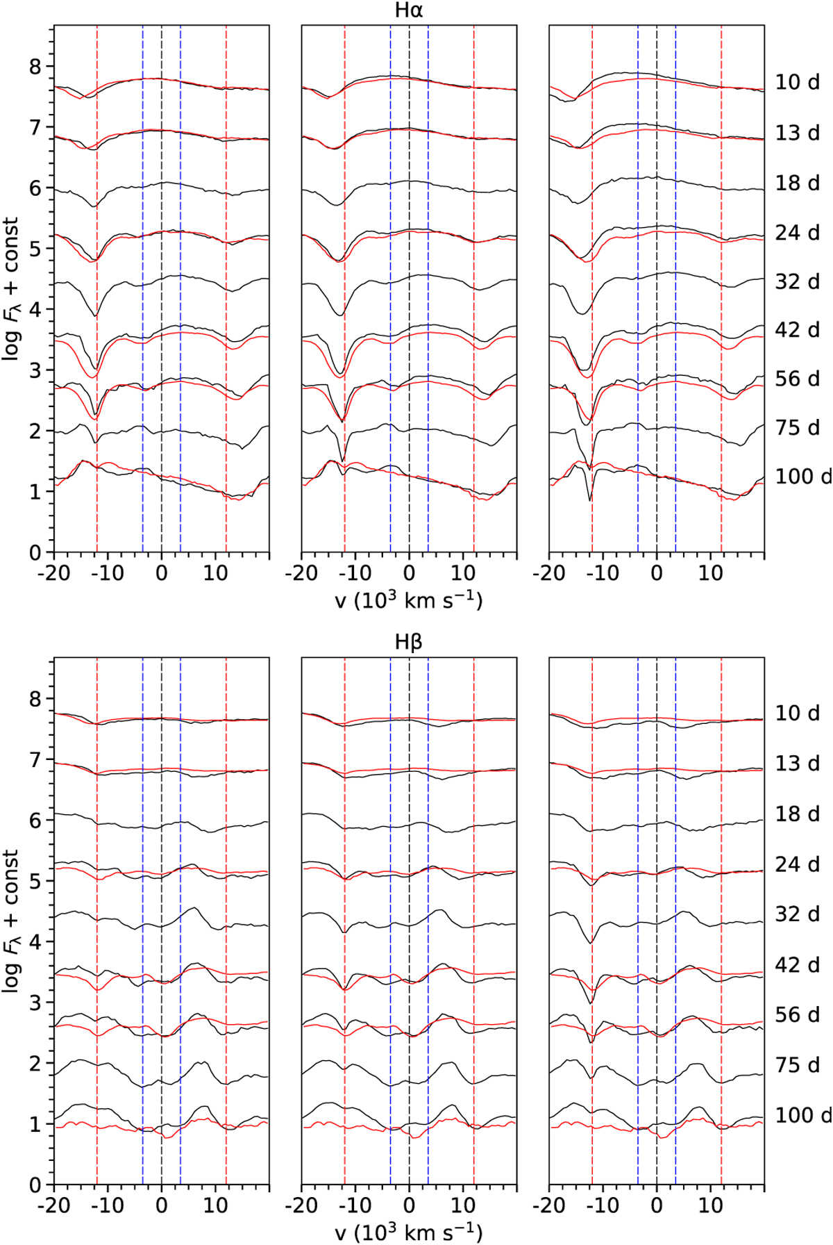
Evolution of the Hα (upper panel) and Hβ (lower panel) lines for SN 2020acat (red) and the JEKYLL models (black) with an initial mass of 17 M⊙, strong mixing and strong expansion of the radioactive material, and a mass of hydrogen in the envelope of 0.0135 (left), 0.027 (middle), and 0.054 (right) M⊙. Spectra from nine logarithmically spaced epochs are shown, and the model C/O-He (blue) and He-H (red) interface velocities are indicated with dashed lines.
Current usage metrics show cumulative count of Article Views (full-text article views including HTML views, PDF and ePub downloads, according to the available data) and Abstracts Views on Vision4Press platform.
Data correspond to usage on the plateform after 2015. The current usage metrics is available 48-96 hours after online publication and is updated daily on week days.
Initial download of the metrics may take a while.