Fig. 14

Download original image
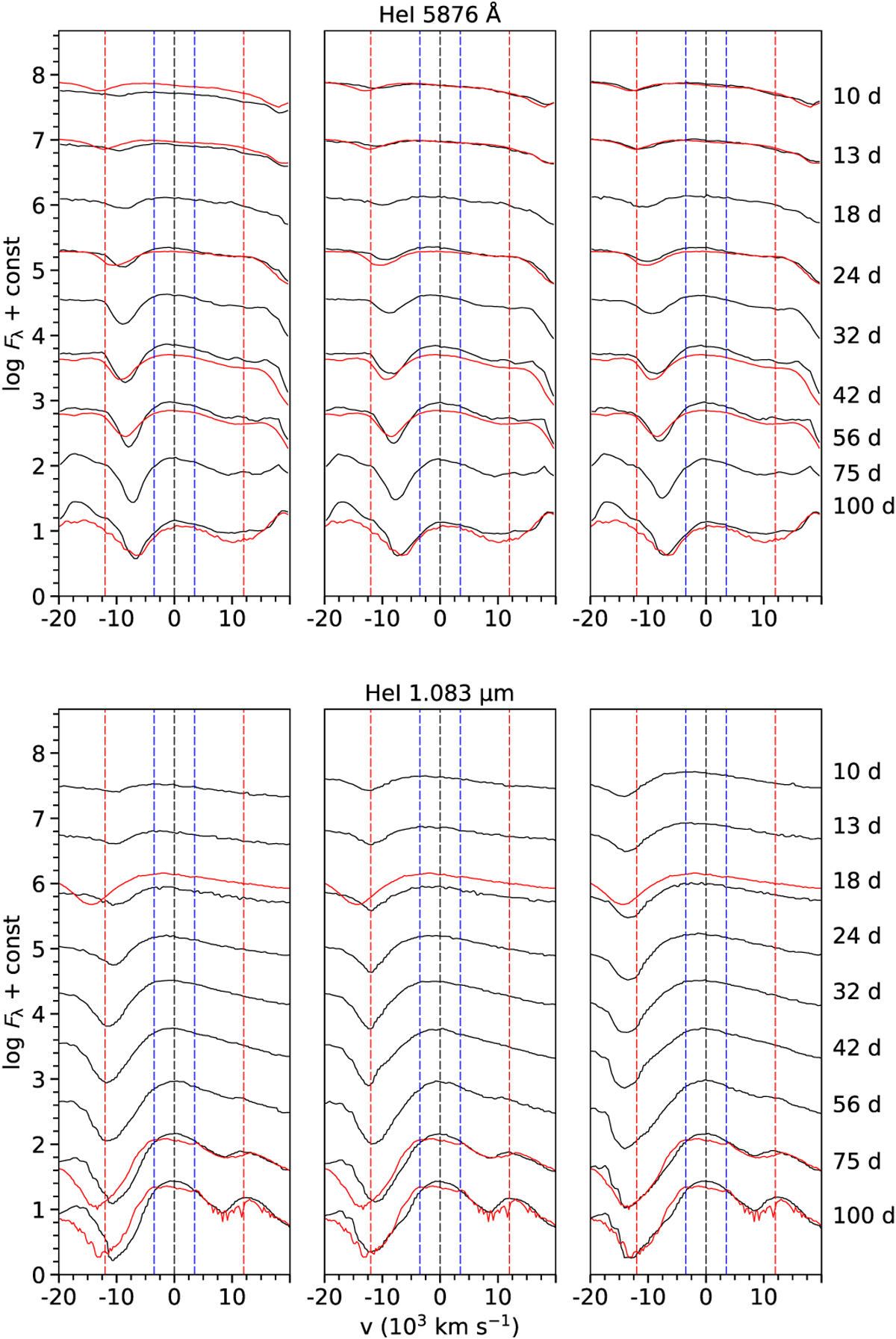
Evolution of the He I 5876 Å (upper panel) and He I 1.083 μm (lower panel) lines for SN 2020acat (red) and the JEKYLL models (black) with an initial mass of 17 M⊙, strong expansion of the radioactive material, medium mixing plus XH =0.54 (left), strong mixing plus XH = 0.54 (middle), and strong mixing plus XH = 0.27 (right). The figure is otherwise the same as Fig. 13.
Current usage metrics show cumulative count of Article Views (full-text article views including HTML views, PDF and ePub downloads, according to the available data) and Abstracts Views on Vision4Press platform.
Data correspond to usage on the plateform after 2015. The current usage metrics is available 48-96 hours after online publication and is updated daily on week days.
Initial download of the metrics may take a while.