Open Access
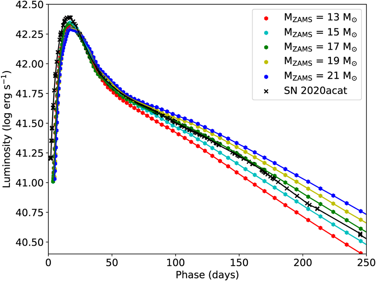
Fig. 9

Download original image
Pseudo-bolometric uBVriz light curves until 250 days for SN 2020acat and JEKYLL models with strong expansion and medium mixing of the radioactive material and initial masses of 13 M⊙ (red), 15 M⊙ (cyan), 17 M⊙ (green), 19 M⊙ (yellow), and 21 M⊙ (blue).
Current usage metrics show cumulative count of Article Views (full-text article views including HTML views, PDF and ePub downloads, according to the available data) and Abstracts Views on Vision4Press platform.
Data correspond to usage on the plateform after 2015. The current usage metrics is available 48-96 hours after online publication and is updated daily on week days.
Initial download of the metrics may take a while.